Stromsituation
 
[Netzstabilität]
 
 
 
Einfluss der Erzeugerarten auf die Stabilität des deutschen Stromnetzes
 
Erläuterung
Bis vor ca. 30 Jahren bestand das deutsche (und auch das europäische) Stromnetz nur aus relativ wenigen Großkraftwerken. Diese Großkraftwerke waren geografisch so angeordnet, dass sie in der Nähe ihres Primärenergiestoffes (Braunkohle) oder aber auch in der Nähe zu den großen Stromverbrauchszentren an geeigneten Standorten (Kern- und Steinkohlekraftwerke) lagen.
Ausgehend von diesen als durchlaufende Grundlastkraftwerke betriebenen Großerzeugern, wurde ein genügend engmaschiges Übertragungsnetz hin zu den Endverbrauchern geknüpft. Die großen Erzeugereinheiten und das zugehörige Übertragungs- und Verteilnetz waren so konstruiert, dass sie zu jeder Zeit die benötigte elektrische Leistung zu jedem Ort im Netz transportieren konnten. Ohne interne oder externe Störfälle war die erzeugte Strommenge dann stets genauso groß wie die verbrauchte Strommenge - das Netz war bei minimalen Kosten in einem perfekten Gleichgewicht.

Dieses perfekte Gleichgewicht wurde und wird in den letzten Jahren zunehmend gestört. Insbesondere in den letzten Jahren erfolgt diese Störung mit rasanter Geschwindigkeit. Ursache dafür ist der politisch gewollte exponentielle Zubau von Erzeugeranlagen, die ihre Primärenergie aus volatilem Wind und volatiler Lichteinstrahlung beziehen. Im Gegensatz zu den oben beschriebenen großen Grundlastkraftwerken, die in der Regel rein rechnerisch ihre Nennleistung zu 80% und mehr im Jahr zur Verfügung gestellt haben, sieht das bei den fluktuierenden Stromerzeugern wie Wind- und Solarkraftwerke erschreckend anders aus.
Windkraftwerke an Land produzieren rein rechnerisch im Schnitt nur in 20% des Jahres Volllaststrom und danach nichts mehr. Bei Windkraftanlagen auf See sind es im Schnitt rein rechnerisch nur ca. 30% des Jahres Volllaststrom, 70% im Jahr stehen sie dann still und produzieren nichts mehr.
Bei PV-Kraftwerken sind diese Zahlen noch viel düsterer. Diese produzieren rein rechnerisch nur an 36 Tagen im Jahr Volllaststrom und danach keine einzige Kilowattstunde mehr.

Insbesondere Kernkraftwerke sind für eine lange Lebens- und Betriebsdauer ausgelegt. In ihrem Betriebsleben gibt es nach dem fortschreitenden Stand der Technik immer wieder Ertüchtigungen zur Verbessserung der Effizienz und Verlängerung ihrer Betriebsdauer bei minimalen Primärenergieeinsatz. So können heutige Kernkraftwerke bis zu 100 Jahre betrieben werden. Das Gute daran für den Enverbraucher ist, dass die meisten Kernkraftwerke, trotz der hohen Baukosten, bereits nach rund 20 Jahren finanziell abgeschrieben sind. In dieser Zeit haben sie, dank ihrer hohen Volllaststundenanzahl, ihre gesamten Kosten, inklusive Rückbau und Brennstoffendlagerung, armotisiert. Dem Endkunden danken sie das mit den niedrigsten Stromgestehungskosten aller Kraftwerkstypen und der niedrigsten Sterblichkeitsrate aller konventioneller Stromerzeuger.
 
 
[Quelle: Statista]
 
Auch die Endlagerung der ausgebrannten Brennstäbe und sonstigen sogenannten "Atommülls" stellt kein unüberwindbares Problem dar, wie die Endlagersituation in Finnland beweist. Hinzu kommt bei Kernkraftwerken ihr CO2-freier Betrieb, deshalb zählen sie in Europa zu den "grüne" Elektroenergieerzeugern.

Kohlekraftwerke hingegen sind wegen ihres hohen CO2-Ausstoßes und dem Raubbau an der Natur und der Umweltschädigung keine Option mehr als Stromlieferant der Zukunft. Sie müssen durch grundlastfähige, durchlaufende Kernkraftwerke ersetzt werden.

Allerdings beschreitet Deutschland einen weltweit einzigartigen Sonderweg. Die derzeitige Bundesregierung hat den kompletten Kohleausstieg bereits bis zum Jahr 2030 im Visier und würde bis dahin alle Kohlekraftwerke vom Netz nehmen. Auch die vier Übertragungsnetzbetreiber haben diesen vorgezogenen Kohleausstieg bis zum Jahr 2030 bereits als ein mögliches Szenario untersucht:
 
 
[Quelle: Amprion]
 
Unter folgenden Voraussetzungen gehen die Übertragungsnetzbetreiber von einem Gelingen des Kohleausstieg zum Jahr 2030 aus:
 
 
[Quelle: Amprion]
 
Was könnte dieser Wegfall der großen Grundlastkraftwerke nun für die Netzstabilität des deutschen Stromsystems aktuell und insbesondere ab dem Jahr 2030 bedeuten? Wie wirkt sich dieser radikale Umbau eines ehemals kontinuierlich-stabilen, zentral betriebenen Stromversorgungssystems hin zu einem volatil-instabilen und dezentralen Stromversorgungssystem auf die Stromversorgung der Zukunft für jeden Einzelnen aus? Diese australische Karikatur zeigt es augenzwinkernd überspitzt, aber dennoch recht anschaulich:
 
[Quelle: nuclearforclimate.com]
 
Links die Situation für die Netz- und Kraftwerksbetreiber bei einer 100%igen Erneuerbaren-Energien-Stromversorgung, rechts bei einem ausgewogen gestalteten Stromversorgungssystem, bestehend aus reichlich Erneuerbaren und ausreichenden Kernkraftwerkskapazitäten.

In der Realität sieht der rechte obere Bildausschnitt dann aber möglicherweise so aus:
 
 
[Quelle: transnetBW]
 
Im europäischen, und damit auch im deutschen Verbundnetz gibt es drei Kennziffern, die die Stabilität dieses Stromnetzes charakterisieren:

1. Eine konstante Netzfrequenz von 50 Hz, die im Normalbetrieb maximal um plus/minus 20 mHz schwanken darf.
2. Eine konstante Netzspannung von 400 V / 230V im Niederspannungssystem, die im Normalbetrieb maximal um plus/minus 40 V / 23 V schwanken darf.
3. Ein hohe Kurzschlußleistung die beinhaltet, dass die Netzimpedanzen klein, die Übertragungsverluste gering und die transformierten Spannungen steif sind.
 
 
[Quelle: transnetBW]
 
Warum spielen dabei die großen rotierenden Stromerzeuger eine so wichtige Rolle?

Die Generatoren in den Großkraftwerken (im Bereich von 1000 MW) sind ausnahmslos sehr große rotierende dreiphasige Synchrongeneratoren. Diese Generatoren werden mechanisch durch rotierende Dampfturbinen angetrieben, bei denen der Dampf durch erhitztes Wasser produziert wird, welches im Fall der Kohlekraftwerke durch das Verbrennen von Kohle und im Fall der Kernkraftwerke durch die Reaktionswärme der gesteuerten Kernspaltung entsteht.
Nur diese Synchrongeneratoren sind in der Lage, ein leistungsstarkes Stromsystem wie das europäische Verbundnetz aufzubauen. Denn nur sie sind aufgrund ihrer variablen, sogenannten Erregung in der Lage, die sinusförmig erzeugten Spannungen in ihrer Amplitude zu erniedrigen oder zu erhöhen und nur sie sind in der Lage, aufgrund ihrer großen rotierenden Massen und der damit verbundenen mechanischen Trägheit, die stets vorkommenden Netzfrequenzschwankungen, aufgrund ständig wechselnder Leistungsbedarfe oder Erzeugereinspeisungen volatiler Stromerzeuger, in einem sehr kleinen Toleranzband zu halten.

In Europa gibt  es hunderte von diesen großen rotierenden Synchrongeneratoren, die letztendlich alle auf das gemeinsame Verbundnetz einspeisen. Was sie alle auszeichnet ist, dass sie im Normalbetrieb mit exakt derselben elektrischen Drehzahl in das Netz einspeisen und sie synchron mit der erzeugten Netzfrequenz von 50 Hz elektrisch umlaufen. 50 Hz entspricht einer elektrischen Drehzahl von 50 Umdrehungen in der Sekunde oder von 3000 Umdrehungen in der Minute. In vielen Großkraftwerken rotieren diese speisenden Synchrongeneratoren entsprechend ihres Wicklungsaufbaus ebenfall mechanisch mit 3000 U/min. Andere rotieren mechanisch mit nur 1500 U/min, da sie eine andere Wicklungsanordnung besitzen. Die von ihnen produzierte dreiphasige Klemmenspannung hat aber im Normalbetrieb stets eine Drehzahl von 3000 U/min oder eben 50 Hz. Ändert sich aus irgendeinem Grund an irgendeiner Stelle im europäischen Verbundnetz die Frequenz, dann ändert sich auch verzögert die mechanische Drehzahl der in der Nähe befindlichen Synchrongeneratoren und des mechanisch verbundenen Turbinensatzes. Ist die Netzfrequenzänderung aber zu groß, kann das zu schweren Schäden in der Mechanik führen, so dass diese Kraftwerke bei Unter- oder Überschreiten der Nennfrequenz von 50 Hz außerhalb eines sicherheitstechnischen Toleranzbandes, vom Netz genommen werden müssen

Warum kommt es bei den Synchrongeneratoren infolge einer Frequenzänderung in Teilen des Verbundnetzes nicht zu einer sofortigen gleichartigen Änderung der mechanischen Drehzahl dieser Generatoren?

Der Name Synchronmaschine ruht daher, dass eine Synchronmaschine im stationären Betrieb stets die Drehzahl des speisenden Netzes annimmt, sofern sie eine sogenannte Polpaarzahl von p = 1 hat. Ist sie höherpolig, entspricht ihre mechanische Drehzahl der Netzfrequenz geteilt durch ihre Polpaarzahl. Besitzt die Synchronmaschine eine Polpaarzahl von p = 2 und beträgt die Netzfrequenz 50 Hz, dreht sie sich mechanisch mit 50 Hz geteilt durch 2, also mit 25 Hz oder 1500 U/min. Das gilt für den stationären Betrieb.
Kommt es nun durch äußere Einwirkung zu einer plötzlichen Absenkung oder einer Erhöhung der speisenden Netzfrequenz in Teilen des Verbundnetzes, kommt es bei den in der Nähe befindlichen großen rotierenden Synchrongeneratoren nicht zu einer ebenfalls plötzlichen gleichartigen Absenkung oder Erhöhung ihrer mechanischen Drehzahl. Ursache dafür ist die sehr große Massenträgheit ihrer tonnenschweren drehenden Rotoren und der angekuppelten Gasturbinen. In diesen rotierenden Massen ist enorm viel kinetische Energie gespeichert, die jetzt dafür sorgt, dass der mechanische Drehzahlabfall oder Drehzahlanstieg aufgrund der Netzfrequenzänderung nur relativ langsam erfolgt. Dadurch, dass diese großen rotierenden Kraftwerksgeneratoren so masseträge sind, wirken sie stark dämpfend auf die plötzlichen Netzfrequenzänderungen und verhindern so für einige Sekunden eine zu schnelle Änderung der Netzfrequenz in die eine oder andere Richtung. Die im europäischen Verbundnetz rotierenden tonnenschweren Massen der Kraftwerksgeneratoren sind also essenziell notwendig, um bei Lastsprüngen in beide Richtungen die Netzfrequenz für eine genügend große Zeit, dennoch weitestgehend stabil zu halten.

Matthias Ensberger beschreibt dieses Verhalten in seiner Masterarbeit auf Seite 15 so:

"Im statisch ausgeglichenen Leistungszustand des Netzes muss die Erzeugung stets gleich groß sein wie der Verbrauch damit die Netzfrequenz konstant bleibt. Die Leistung wird in diesem Fall direkt von der Turbine ans Netz abgegeben, die Trägheit des Turbinen-Generatorsatzes (Schwungmasse) dient sozusagen als Zwischenspeicher. Weicht die Erzeugung vom Verbrauch ab, so wird der Überschuss bzw. das Defizit an Leistung direkt an den Schwungspeicher weitergegeben, da der Turbinenregler nicht schnell genug eingreifen kann um auf die Leistungsdifferenz zu reagieren. Durch diese Leistungszufuhr bzw. diesen Leistungsentzug der rotierenden Energie wird der Turbinen-Generator Satz dabei beschleunigt bzw. abgebremst. Da dies normalerweise synchron mit dem Netz geschieht, steigt bzw. fällt auch die Netzfrequenz. Die Energiedifferenz, welche entstanden ist, muss im Nachhinein ausgeglichen werden, um die Netzsollfrequenz von 50 Hz wieder zu erreichen."

Die in den rotierenden Massen der Synchrongeneratoren gespeicherte kinetische Energie wird auch als Momentanreserve bezeichnet.

Die großen Schwungmassen der Kraftwerksgeneratoren wandeln permanent und ohne jeglichen äußeren Steuerungseingriff mechanische Energie in elektrische Energie und umgekehrt um. Diese ständigen Energieumwandlungen passieren ohne jeglichen Zeitverzug und dabei wirken die großen mechanischen Schwungmassen stark dämpfend auf mechanische und elektrische Laststöße.

Folgender Artikel beschreibt diese Momentanreserve anschaulich:

"Die Momentanreserve ist eine sehr kurzfristig verfügbare Leistungsreserve in einem Energieübertragungssystem. Sie ergibt sich aus der Trägheit der rotierenden Schwungmassen der Synchrongeneratoren konventioneller Kraftwerke. Ein plötzlicher Erzeugungsausfall beziehungsweise eine plötzliche Zunahme der Verbraucherlast im Übertragungsnetz kann nicht unmittelbar durch Regelleistung kompensiert werden. Direkt nach Störungseintritt hat sich die Netzfrequenz noch nicht wesentlich verändert und die Primärregelung ist noch nicht aktiv. Zu diesem Zeitpunkt muss ein Leistungsdefizit durch die kinetische Energie der rotierenden Massen gedeckt werden. Dies führt zu einer Abnahme der im Synchrongenerator gespeicherten Rotationsenergie und damit zu einer Verringerung der Drehzahl. Aufgrund der frequenzstarren Kopplung aller Synchrongeneratoren fällt die Netzfrequenz somit nach kurzer Zeit ab.

Jeder Synchrongenerator beteiligt sich entsprechend seiner Nennleistung an der Momentanreserve. Die Momentanreserve wird durch die Trägheit des Generators beziehungsweise dessen Anlaufzeitkonstante geprägt. Die Anlaufzeitkonstante ist eine wichtige Kenngröße. Sie beschreibt die Zeit, die ein Generator benötigt, um vom Stillstand auf Nenndrehzahl zu beschleunigen, wenn er mit Nenndrehmoment angetrieben wird. Die großen Synchrongeneratoren konventioneller Kraftwerke haben eine Anlaufzeitkonstante von ca. 10 bis 15 Sekunden. Regenerative Erzeuger, die über Umrichter ans Netz gekoppelt sind, weisen keine Anlaufzeitkonstante auf und tragen demzufolge nicht zur Momentanreserve bei." [Quelle: enArgus]

Entscheidend ist der letzte Satz:

"Regenerative Erzeuger, die über Umrichter ans Netz gekoppelt sind, weisen keine Anlaufzeitkonstante auf und tragen demzufolge nicht zur Momentanreserve bei."


Im Umkehrschluß bedeutet das für ein Stromversorgungssystem, welches zu 100% mit Wind- und Solarkraftwerke betrieben werden soll (mit wenigen Gaskraftwerken als Backup), im Störungsfall (Erzeugerausfall, Leitungsausfall, Lastabwurf, Lastübernahme, Stromüberproduktion), dass nur wenig wirksame mechanische Momentanreserve für die Erstbekämpfung der dem Störfall nachfolgenden Frequenzänderung vorhanden ist. Ein solches Stromsystem ist von der Bundesrepublik in Planung und soll bestenfalls 2030 umgesetzt sein. Diesem Stromsystem wird dann durch das Abschalten der letzten Kohlekraftwerke ein Großteil der für die Frequenzhaltung notwendigen mechanischen Momentanreserve entzogen. Es wirken dann nur noch die mechanischen Trägheiten der am Netz laufenden Gaskraftwerke und, wenn nutzbar, die der Windkraftwerke.

Um in einem solchen trägheitslosen bzw. trägheitsarmen Stromsystem dennoch ein notwendiges Maß an Momentanreserve zu generieren, kämen zum Einen auf der Seite der mechanischen Massenträgheit ausschließlich die erwähnten Gaskraftwerke und Windkraftanlagen und dort wiederum, und im Besonderen, die großen Windradanlagen mit ihren sehr großen Rotoren in Frage. Je größer und schwerer die Rotoren sind und je schneller sie sich drehen, desto mehr kinetische Energie wird in ihnen gespeichert. Ohne Wind allerdings gibt es auch keine Rotation und damit wird in den mechanischen Trägheiten der Rotoren auch keine kinetische Energie gespeichert. In diesen sehr häufigen Fällen im Jahr ist die notwendige Momentanreserve der Windräder dann Null. Das stellt eine sehr große Gefahr für die Netzstabilität dar. Denn ab gewissen Netzfrequenzwerten unterhalb der 50 Hz kommt es im europäischen Verbundnetz zu einem mehrstufigen Maßnahmeplan:
 
[Quelle: enArgus]
 
Die Stufen 1 bis 5 kennzeichnen einen sogenannten kontrollierten Brownout.

Bei einem unkontrollierten Brownout kommt es zu unvorhersehbaren Stromausfällen infolge von merklichen Spannungsabsenkungen im Stromnetz. Diese Spannungsabsenkungen treten in der Regel durch einen plötzlichen, ungeplant hohen Strombedarf im Netz auf und dauern per Definition nicht länger als eine Minute.

Der kontrollierte und der unkontrollierte Brownout kennzeichnet eine kurzfristige Netzinstabilität und ist oftmals ein Zeichen für fehlende Momentanreserve, mangelnde Regelleistung, schlechtes Wetter oder für technische Störungen. Der Brownout ist oftmals der Vorbote eines Blackouts. Dabei kennzeichnet ein weitflächiger Blackout den schlimmsten Störfall in einem Stromversorgungssystem mit ungeahnten Folgen für Leib und Leben von Mensch und Tier.

Ein Blackout kennzeichnet den unvorhergesehenen, unbeherrschbaren und großflächigen Ausfall der gesamten Stromversorgung des betroffenen Gebietes für unbestimmte Zeit. Das betroffene Stromnetz ist unkontrolliert zusammengebrochen. Ein Blackout kann (je nach seiner flächenmäßigen Größe) für mehrere Tage, Wochen oder Monate andauern und führt mit 100%iger Sicherheit zu Tausenden von Toten.

Zum Anderen findet auch der Einsatz von leerlaufenden Rotierenden Phasenschiebern immer mehr Anwendung. Rotierende Phasenschieber sind z.B. rückgebaute fossile Kraftwerksanlagen, bei denen an Stelle der antreibenden Turbine ein ausreichend dimensionierter Asynchronmotor an den verbleibenden Synchrongenerator gekuppelt wird. Dieser Asynchronmotor fährt die Synchronmaschine bis kurz unter oder genau auf die sogenannte Synchrondrehzahl des Generators, so dass dieser auf des vorhandene Netz aufsynchronisiert werden kann. Anschließend läuft der ehemalige Synchrongenerator als leerlaufender Synchronmotor am Netz und der Asynchronmotor wird elektrisch abgeschaltet. Nun kann mittels der Erregung, die von der leerlaufenden Synchronmaschine erzeugte Spannung verringert oder erhöht werden. Ist diese Spannung kleiner als die Netzspannung, nimmt die Synchronmaschine induktive Blindleistung aus dem Netz auf, ist die Maschinenspannung größer als die Netzspannung, liefert die Synchronmaschine induktiven Blindstrom in das Netz. Zum einen kann der Rotierende Phasenschieber so andere Blindleistungsverbraucher mit induktivem Blindstrom versorgen (Transformatoren, Asynchronmaschinen) und zum anderen liefert dieser Phasenschieber einen Beitrag zur Spannungshaltung. Als gewünschter Nebeneffekt hält sie auf Grund ihrer rotierenden Masse (und der zusätzlichen Masse der angekuppelten Asynchronmaschine) die Netzfrequenz im Störungsfall mit konstant, bzw. verringert zumindest den Frequenzgradienten (--> Frequenzänderungsgeschwindigkeit). Somit behält der Rückbau der fossilen Kohlekraftwerke noch einen gewissen Sinn. Auch eine elektrische Kopplung mit Batteriespeicher ist möglich. Dadurch kann die Kurzschlußstromleistung in einem Fehlerfall deutlich gesteigert werden gegenüber einem Netz ohne Synchrongeneratoren.

Da die in den rotierenden Massen der großen Synchrongeneratoren gespeicherte Momentanreserve als allererste Schutzmaßnahme gegen Brown- und Blackouts greift, ist ihr Wegfall bzw. ihre Reduzierung durch Abschaltung dieser rotierenden Massen ein großes Wagnis auf dem Pfad zu einer deutschlandweiten Stromversorgung ohne konventionelle Großkraftwerke. Die Rotationsenergie der Windkraftanlagen als Momentanreserve ist unstetig und bei Windflaute nicht vorhanden. Die Solargeneratoren haben keine mechanische Massenträgheiten und fallen diesbezüglich als Momentanreserve vollständig aus.

Somit bleiben für ein solch volatiles deutsches Stromsystem nur noch der Ersatz der mechanischen Netzmassenträgheit durch eine adäquate elektrische Netzmassenträgheit.

Wie müßte diese elektrische Netzmassenträgheit konzipiert sein?

Die Masterarbeit von Milan Lazic bietet dafür grundlegende und nachvollziehbare Lösungsansätze. In ihr erklärt der Autor die notwendigen mathematischen Zusammenhänge und führt diese mathematischen Zusammenhänge über diverse Modellsimulationen zu praktikablen Lösungen. Darstellungen aus dieser Arbeit sollen in die folgenden Ausführungen eingehen.

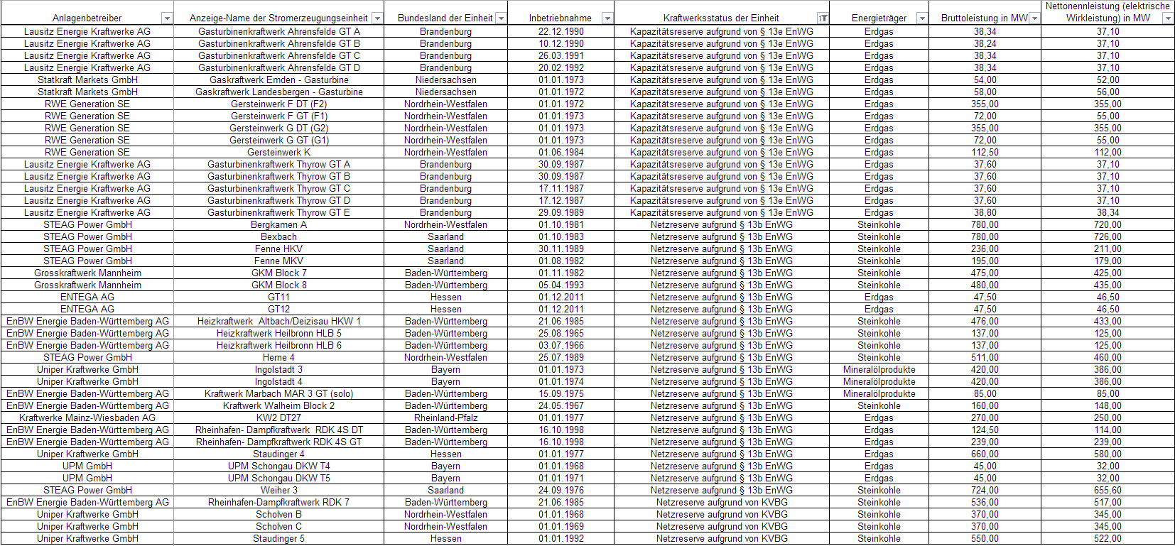
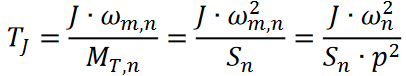
Um die potentiell vorhandene deutsche mechanische Netzmassenträgheit abzuschätzen, benötigt man die Gesamtleistung aller in Deutschland vorhandenen rotierenden Kraftwerke. Das Umweltbundesamt gibt auf seiner Seite eine aktuelle Excelliste des deutschen Kraftwerkspark für Kraftwerke > 100 MW an. Die sich ergebende installierte Gesamtbruttowirkleistung dieser Kraftwerke beträgt dann Pbrutto = 93.058,28 MW. Nach Formel (36) in der Masterarbeit von Milan Lazic kann man nun die gesamte kinetische Energie des deutschen Kraftwerkspark berechnen:
 
In dieser Formel wird vereinfachend an Stelle von Sn die Bruttowirkleistung Pbrutto = 93.058,28 MW eingesetzt. Dieser konzentrierte Netz-Synchrongenerator besitzt eine sogenannte Netz-Anlaufzeitkonstante Tj. Das ist die Zeit, die die elektrisch unbelastete Turbinen-Generator-Einheit dieses zusammengefassten Netz-Synchrongenerators benötigt, um mit ihrem konstanten Nennantriebsdrehmoment aus dem Stillstand auf ihre Nenndrehzahl (z.B. 1500 U/min oder 3000 U/min) hochgefahren zu werden. Je größer (bei konstantem Nenndrehmoment) die Masse der rotierenden Teile ist, um so größer ist auch ihre Trägheit J und umso länger dauert das Hochfahren (Formel 7):
 
 
Der Faktor p in der obigen Gleichung ist die sogenannte Polpaarzahl des Generators.
Für den deutschen Kraftwerkspark, entsprechend der Excelliste des Umweltbundesamtes, wird eine Netz-Anlaufzeitkonstante von 8 Sekunden angenommen. Für das gesamte europäische Verbundnetz rechnet Milan Lazic mit einer Netz-Anlaufzeitkonstante von 10 Sekunden.

[Die in Deutschland vom Netz gegangenen Kernkraftwerke hatten eine Gesamtleistung von Pbrutto = 27881 MW. Das entspricht 30% des heutigen deutschen Kraftwerkspark. Es ist festzuhalten, dass ein Stromübertragungsnetz umso stabiler gegen Störungen ist, umso größer seine installierte Leistung, umso größer seine Anlaufzeitkonstante und umso größer die daraus resultierende kinetische Energie Wrot ist. Somit führte allein das Abschalten aller deutschen Kernkraftwerke zu einer um 30% verringerten kinetischen Energie und somit zu einer verringerten Netzstabilität hinsichtlich der zur Verfügung stehenden Momentanreserve.]

Für das deutsche Stromnetz ergibt sich bei einer Leistung von Pbrutto = 93.058,28 MW = Pbrutto = 93,05828 GW und einer aktuellen Netzfrequenz von f = 50 Hz eine in den rotierenden Generatoren gespeicherte kinetische Energie (Momentanreserve) von Wrot = 0,5 x 93.058,28 MWs x 8 s x (50 Hz / 50 Hz)² = Wrot = 372,23 GWs = 0,1 GWh = 103,4 MWh = 103398 kWh.

Wodurch kann diese kinetische Energie ersetzt werden?

Ab 2030 sollen alle Kohlekraftwerke vom Netz genommen werden. Es verbleiben dann nur noch ausgewählte Kohlekraftwerke in der sogenannten Regelreserve.

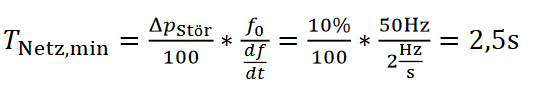
Im nachfolgenden Diagramm ist der Verlauf der Netzfrequenz in einem Teil des europäischen Verbundnetzes am 20. Juli 2023 ab 16:24:30 dargestellt. 34 Sekunden später, also um 16:25:04, kam es zu einem negativen Frequenzsprung von 49,963 Hz auf 49,174 Hz, also einer Frequenzänderung um 789 mHz auf eine Frequenz von 49,174 Hz. Um 16:25:20, also 16 Sekunden später, trat die Netzfrequenz erstmalig wieder in das normale Toleranzband mit einer unteren Frequenz von 49,98 Hz ein.
 
[Datenquelle: netztransparenz.de]
 
 
Der Frequenzgradient (ROCOF) bei diesem Störfall betrug (49,963 Hz - 49,174) / 1 s = 0,789 Hz pro Sekunde. Dieser Frequenzgradient wurde von den zu diesem Zeitpunkt wirkenden installierten mechanischen Schwungmassen bestimmt.
 
 
In dieser Stellungnahme geben die Übertragungsnetzbetreiber folgende Erklärung zu dem im deutschen Verbundnetz maximal erlaubten Frequenzgradienten an:

"3.1 Zulässige Frequenzgradienten im Verbundbetrieb
Neben den in Abschnitt 2.2 beschriebenen Frequenzgrenzen ist der Gradient des Frequenzabfalls df/dt (auch ROCOF: Rate of Change of Frequency), der nach einem spontanen Leistungsungleichgewicht auftritt, zu beachten.
Zum einen muss der Frequenzgradient begrenzt werden, damit die Funktion des Unterfrequenz-Lastabwurfs gewährleistet ist, da dessen Wirkung nach Erreichen der jeweiligen Frequenzauslösewerte um einige 100 ms verzögert ist (siehe auch Abschnitt 3.4.1). Zum anderen ist die Abschaltung von Erzeugungseinheiten in den Verteilungsnetzen zu verhindern.
Diese sind häufig mit sogenannten ROCOF-Relais ausgestattet, um sich bei Überschreitung definierter Frequenzgradienten vom Netz zu trennen und damit das Inselnetz abzuschalten.
Der Frequenzgradient dient als Indikator, da bei hohen Werten eine eingetretene Inselnetzbildung als sehr wahrscheinlich anzusehen ist. Typische Schwellwerte dieser ROCOF-Relais liegen zwischen 2 und 2,5 Hz/s.
Eine Begrenzung des maximal zulässigen Frequenzgradienten auf etwa 2 Hz/s ist damit notwendig, um einerseits die Funktion des Unterfrequenz-Lastabwurfs zu gewährleisten und andererseits eine ungewollte Abschaltung von Erzeugung im Verteilungsnetz zu vermeiden."
 
Es sei an dieser Stelle nochmals explizit darauf hingewiesen, dass der Frequenzgradient, also die Frequenzänderung über der Zeit nach einem Wirkleistungsungleichgewicht im Netz, ausschließlich durch die im Netz vorhandenen mechanischen (plus den vorhandenen und genutzten elektrischen) Massenträgheiten bestimmt wird. Je größer die Netzmassenträgheit ist, desto kleiner ist der Frequenzgradient und desto langsamer fällt oder steigt bei einem Wirkleistungsungleichgewicht die Netzfrequenz. In Folge dessen hat die unmittelbar nach dem Störfall einsetzende Primärregelung mehr Zeit, auf die Frequenzänderung zu reagieren und kann (bei möglichem zusätzlichen Einsatz der Sekundärregelung) die gestörte Netzfrequenz wieder auf ihren Nennwert schieben.

Bei einem Wirkleistungsdefizit (es wird mehr Wirkleistung abgefordert als momentan erzeugt wird), wird die in den mechanischen Schwungmassen gespeicherte kinetische Energie vom Turbinen-Generator-Satz abgegeben und in elektrische Wirkleistung für das Netz umgewandelt.

Bei einem Wirkleistungsüberschuß (es wird weniger Wirkleistung abgefordert als momentan erzeugt wird), speichern die Turbinen-Generatoren-Sätze zusätzliche kinetische Energie in ihren mechanischen Schwungmassen und entziehen dadurch dem Netz elektrische Wirkleistung.
 
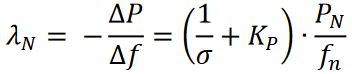
Damit die Netzfrequenz solch heftige negative Werte annehmen konnte, mußte ein entsprechendes elektrisches Wirkleistungsdefizit im Verbundnetz vorliegen. Das heißt, es wurde in diesem Moment weitaus mehr elektrische Wirkleistung verbraucht als zu diesem Zeitpunkt im Verbundnetz zur Verfügung stand. Im vorliegenden Fall kann man dieses Leistungsdefizit annähernd über die Beziehung (Formel 23) angeben:
 
 
Dabei gibt die sogenannte Netzleistungszahl Lambda an, wie groß das Leistungsungleichgewicht in einem Stromnetz sein muß, damit es zu einer quasistationären Netzfrequenzabweichung von 1 Hz kommt.

Im europäischen Verbundnetz (UCTE Continental Europe) gilt die entso-e - Vorgabe, dass für eine Referenzstörung von 3 GW, die quasistätionäre Frequenzabweichung nicht höher als 200 mHz sein darf. Daraus ergibt sich ein Lambda von 15.000 MW/Hz. Das heißt, damit sich die Nennnetzfrequenz von 50 Hz um 1 Hz nach unten oder oben ändert, bedarf es einer fehlenden oder einer überschüssigen Wirkleistung von 15 GW.

Im oberen Netzfrequenzverlauf wurde diese fehlende Leistung von 15 GW fast erreicht. Bei der von entso-e vorgegebenen Netzleistungszahl Lambda und einem vorliegenden Delta der Netzfrequenz von -826 mHz, betrug der kurzfristige Leistungsmangel deltaP genau 12,390 GW, was der ungefähren Nennleistung von 10 modernen Kernkraftwerken entspricht. Das dieses plötzliche Leistungsdefizit keine großen Auswirkungen auf das europäische Stromsystem hatte, ist besonders erstaunlich, lag aber sicherlich an dem zum Zeitpunkt der Störung am Netz befindlichen Generatorpark sowie der damit verbundenen Massenträgheit und der darin gespeicherten kinetischen Energie. Dadurch konnte im ersten Moment diese außergewöhnlich starke Netzstörung sicher eingefangen und durch die anschließend einsetzende Primär- und Sekundärregelleistung behoben werden. Ein Lastabwurf von 10 - 15 Prozent der Netzlast ab einer Netzfrequenz von 49 Hz war zwar nicht notwendig, stand aber unmittelbar bevor.

Ein weiteres beispielhaftes Frequenzereignis zeigt die nachfolgende Grafik der privaten Webseite netzfrequenzinfodienst:
 
 
 
 
 
 
Europaweite Netztrennung in der Nacht vom 04.11.2006
 
Weitaus dramatischer als der oben betrachtete Frequenzeinbruch verlief der schwerste je aufgetretene europäische Störfall bei der geplanten Ausschiffung eines Kreuzfahrtschiffes der Meyer-Werft in Papenburg in der Nacht vom 04.11.2006. Durch menschliche Fehlhandlungen und gleichzeitige unvorhergesehene Lastflüsse kam es zu einer ungewollten und unvorgesehenen Auftrennung des europäischen Verbundnetzes in drei Teilnetze. Europa befand sich am Rande eines Blackouts. Der entsprechende Sachverhalt zu diesem schwerwiegenden Vorfall im europäischen Stromnetz ist in Auszügen hier wiedergegeben:
 
"Der Sachverhalt stellt sich für die Bundesnetzagentur nach Auswertung der Berichte von E.ON Netz, RWE Transportnetz Strom, Vattenfall Europe Transmission und EnBW Transportnetze, des Zwischen- und Abschlussberichts der UCTE sowie des Zwischen- und Abschlussberichts der ERGEG wie folgt dar:

Am 18. September 2006 bat die Meyerwerft E.ON Netz, zur Überführung des Kreuzfahrtschiffes „Norwegian Pearl“ in die Nordsee am 5. November 2006 um 01:00 die 380 kV-Leitung Conneforde – Diele, welche die Ems überquert, abzuschalten. Die Abschaltung dieser Leitung ist regelmäßig bei der Überführung von Schiffen dieser Größenordnung erforderlich, weil der Abstand zwischen der Höchstspannungsleitung und den Schiffsaufbauten zu gering ist, um bei eingeschalteter Leitung eine gefahrlose Überführung des Schiffes zu ermöglichen.

Seit 1995 wurde die Höchstspannungsleitung Conneforde - Diele von E.ON Netz 14 Mal zur Überführung von Schiffen abgeschaltet. Für die Überführung eines großen Schiffes der Meyerwerft wird die Ems aufgestaut, und das Schiff fährt in eine Schleuse. Dann wird die Höchstspannungsleitung abgeschaltet und von E.ON Netz die sogenannte Verfügungserlaubnis gegeben. Das ist die Bestätigung an die Meyerwerft, dass die Leitung stromlos ist.
Die Meyerwerft öffnet das Schleusentor und das Schiff verlässt die Schleuse. Je nach konkretem Fall ist die Höchstspannungsleitung zwischen zwei und vier Stunden abgeschaltet.

Am 27. Oktober wurde die gewünschte Abschaltung von der Betriebsplanung von E.ON Netz vorläufig genehmigt. Zuvor führte die NLS (Netzleitstelle) anhand eines Standardplandatensatzes – es handelt sich um einen Datensatz, in den adäquate, angenommene Werte für Umgebungsvariablen zur Netzberechnung einfließen – eine Analyse der Lastsituation durch. Diese gab keinen Anlass dafür, eine Verletzung des (n-1)-Kriteriums anzunehmen. Da allerdings zu diesem Zeitpunkt keine Informationen über die Einspeise- und Verbrauchsverhältnisse für den 5. November 2006 vorlagen, stand die endgültige Genehmigung, wie es nach Angaben von E.ON Netz üblich ist, unter dem Vorbehalt einer weiteren Analyse der Netzsituation unmittelbar vor der Abschaltung der Leitung.

Ferner informierte E.ON Netz den niederländischen Übertragungsnetzbetreiber TenneT und RWE Transportnetz Strom über die vorläufig genehmigte Abschaltung, damit diese Netzbetreiber eine (n-1)-Rechnung durchführen konnten. Diese ergaben, dass das Netz zwar hoch belastet, aber sicher sein würde. E.ON Netz und TenneT vereinbarten, dass am 5. November 2006 von 0 bis 6 Uhr jedoch die grenzüberschreitenden Aktivitäten von E.ON Netz zu TenneT um 350 MW reduziert werden sollten. TenneT entschied sich zudem am 4. November 2006 für eine weitere Reduzierung des grenzüberschreitenden Stromtransportes für den 5. November 2006, weil eine erhöhte Windeinspeisung erwartet wurde. Diese zusätzliche Reduzierung wurde ausschließlich zwischen TenneT und RWE Transportnetz Strom vereinbart, da von E.ON Netz wegen der geplanten Abschaltung der Leitung Conneforde – Diele keine Windeinspeisung erwartet wurde.

Telefonisch bat die Meyerwerft am 3. November 2006 E.ON Netz, die Abschaltung der Höchstspannungsleitung um drei Stunden auf den 4. November 2006, 22 Uhr, vorzuverlegen. E.ON Netz beurteilte daraufhin die prognostizierten Lastverhältnisse für die Abschaltung zum früheren Zeitpunkt für günstiger als im Gegensatz zum ursprünglich vorgesehenen Zeitpunkt. E.ON Netz erwartete für diesen Zeitpunkt eine höhere Last und niedrigere prognostizierte Windeinspeisung, wodurch die Transporte in Ost-West-Richtung reduziert und das Netz entlastet würde. Eine (n-1)-Berechnung ist nicht erfolgt, ebenso wenig eine Simulationsrechnung. Zu diesem Zeitpunkt erfolgte keine Information an RWE Transportnetz Strom und TenneT. Zudem enthielt auch die DACF (Day-Ahead Congestion Forecast) vom 3. November 2006 von E.ON Netz, die die Daten für den 4. November 2006, 22 Uhr und darüber hinaus enthielt, keinen Hinweis auf eine Vorverlegung der Leitungsabschaltung.

Erst am 4. November 2006 zwischen 18.00 und19.00 Uhr informierte E.ON Netz RWE Transportnetz Strom und TenneT darüber, dass die Leitung Conneforde – Diele zu einem früheren Zeitpunkt abgeschaltet werden sollte.

Nach Angaben von TenneT war es zu diesem Zeitpunkt nicht mehr möglich, den grenzüberschreitenden Stromtransport zu reduzieren, da das den Auktions-Regeln widerspräche. Die Tagesauktion findet vor Börsenschluss statt, so dass es am Abend des 4. November 2006 die auktionierte Tageskapazität keinesfalls mehr reduziert werden konnte. TenneT, E.ON Netz und RWE Transportnetz Strom einigten sich jedoch am 4. November 2006 gegen 19 Uhr darauf, die Abzweigposition am Trafo Meeden zu ändern, um den Lastfluss zwischen E.ON Netz und TenneT durch Entlastung der Leitung Diele – Meeden zu verringern. Die entsprechende Schalthandlung führte TenneT um 19:33 Uhr durch.

Am 4. November 2006 befanden sich im deutschen Übertragungsnetz wegen Wartungs- und Reparaturarbeiten einige Netzelemente außer Betrieb. U.a. war im Zuständigkeitsbereich von E.ON Netz die Verteilstation Borken nicht im üblichen Ein-Sammelschienen-Modus, sondern im Zwei-Sammelschienen-Modus geschaltet. Dadurch waren Lastflüsse von Ost nach West in diesem Bereich nicht möglich.

Die Frequenz betrug im Gebiet der UCTE zwischen 21:30 Uhr und 22:09 Uhr nach Angaben des UCTE-Abschlussberichts nahezu 50 Hz.
Um 21:29 Uhr führte die NLS von E.ON Netz mit den Daten des aktuellen Netzzustandes eine Simulationsrechnung - diese Berechnung berücksichtigt für das eigene Netz den genauen Zustand und die Netze benachbarter Netzbetreiber als Modellnetze und gibt Aufschluss über Lastflüsse im eigenen Netz - für die geplante Abschaltung der Höchstspannungsleitung durch. Konkret wurde eine Lastflussrechnung durchgeführt, in die die Leitung Conneforde – Diele als bereits abgeschaltet eingegangen ist. Dabei wurden vom Leitsystem keine Grenzwertverletzungen signalisiert. Eine (n-1)-Berechnung erfolgte nicht.

Gegen 21:30 Uhr bestätigten RWE Transportnetz Strom und TenneT E.ON Netz, dass die Stromflüsse zwischen Deutschland und den Niederlanden zwar hoch, das Netz von TenneT und RWE Transportnetz Strom jedoch sicher seien, so dass sie E.ON Netz die Zustimmung für die geplante Leitungsabschaltung gaben. Zuvor hatte RWE Transportnetz Strom eine Lastflussanalyse sowie eine (n1-)-Berechnung durchgeführt.

Um 21:38 Uhr schaltete die NLS von E.ON Netz die Höchstspannungsleitung zwischen Diele und Conneforde, welche die Ems überquert, ab. Die Lastflüsse von Ost nach West verteilten sich daraufhin auf andere, weiter südlich gelegene Leitungen.

Um 21:39 Uhr erhielt die NLS von E.ON Netz mehrere Warnmeldungen der Leitungen Elsen - Twistetal und Elsen - Bechterdissen.

Eine Warnmeldung besteht bei E.ON Netz aus einem optischen und akustischen Signal und ist nach Angaben von E.ON Netz eine der Eingangsgrößen für die Bewertung einer konkreten Situation durch das Personal der NLS.

Die konkrete Warnmeldung wies auf das Erreichen von Stromgrenzwerten hin.

In der NLS war nach Angaben von E.ON Netz bekannt, dass gemäß einer internen Regelung von E.ON Netz eine temporäre Überlastung der Betriebsmittel um 25 Prozent erlaubt sei, so dass kein unmittelbarer Handlungsbedarf gesehen wurde.

Um 21:41 Uhr rief die NLS von E.ON Netz bei der NLS von RWE Transportnetz Strom an, um sich zu erkundigen, ob noch alles in Ordnung sei. Das bejahte RWE – die (n-1)-Sicherheit im eigenen Netz war gegeben -, verwies aber auch auf den Sicherheitsgrenzwert von 1800 A für die Leitung Landesbergen – Wehrendorf. Bei dieser Leitung handelt es sich um eine Kuppelleitung zwischen E.ON Netz (Landesbergen) und RWE (Wehrendorf). Ferner wies die NLS von RWE Transportnetz Strom auf den Schutzgrenzwert von 1990 A im Umspannwerk Wehrendorf hin. Zu diesem Zeitpunkt betrug die Belastung der Leitung Landesbergen – Wehrendorf ungefähr 1780 A.

Um 21:42 Uhr erteilte die NLS von E.ON Netz die sogenannte Verfügungserlaubnis für das Schiff.

Um 21:46 Uhr und 21:52 Uhr erfolgten Telefonate zwischen der NLS von E.ON Netz und Vattenfall Europe Transmission. Um 21:50 Uhr besprachen sich die NLS von E.ON Netz und RWE Transportnetz Strom. In den Telefonaten wurde die Situation als angespannt beurteilt.

Ab 22:05 Uhr kam es nach Angaben von E.ON Netz und RWE Transportnetz Strom zu einer Änderung im Lastfluss, was zu einem Anstieg der Auslastung der 380 kV-Leitung zwischen Landesbergen und Wehrendorf um 100 MW (entspricht ungefähr 160 A) führte.

Die Ursache für die Lastflussänderung war nicht klar.

Der Strom stieg auf der Leitung Landesbergen – Wehrendorf innerhalb von zwei bis drei Minuten auf ca. 1900 A an und überstieg damit den Sicherheitsgrenzwert von RWE Transportnetz Strom für diese Leitung, der bei knapp 1800 A lag.


Um 22:07 Uhr war der Sicherheitsgrenzwert überschritten, was die NLS von RWE Transportnetz Strom daraufhin der NLS von E.ON Netz telefonisch mitteilte. Das Personal der NLS von E.ON Netz überlegte daraufhin, wie die Situation entschärft werden könnte und entschied sich, die Sammelschienen im Umspannwerk Landesbergen zu kuppeln. Hierdurch sollte der Lastfluss auf der Leitung Landesbergen – Wehrendorf reduziert werden, nach Einschätzung der NLS von E.ON Netz um Rund 50 MW (entspricht 80 A). Es erfolgten weder Lastflussberechnungen noch eine (n-1)-Rechnung.

Die Kupplung wurde ohne weitere Rücksprache mit RWE Transportnetz Strom um 22:10:11 Uhr eingelegt.

Zwei Sekunden später, um 22:10:13 Uhr, schaltete die automatische Schutzeinrichtung die Leitung Landesbergen – Wehrendorf ab.


Die Folge waren Lastverschiebungen, die um 22:10:15 Uhr zu einer Abschaltung der 220 kV-Leitung Bielefeld/ Ost – Gütersloh führten.

Um 22:10:19 Uhr schaltete sich die 380 kV-Leitung Bechterdissen – Elsen aus. Im Anschluss kam es innerhalb kürzester Zeit zur Abschaltung von weiteren Leitungen von Nord nach Süd quer durch Deutschland, Österreich, Kroatien, Ungarn und weitere Länder.


Als Folge des Ausfalls einzelner Leitungen zerfiel das europäische Stromnetz in drei Teilnetze. Das nord-östliche Gebiet war durch eine Überfrequenz gekennzeichnet und umfasste von den deutschen Übertragungsnetzbetreibern das Gebiet von Vattenfall Europe Transmission sowie einen Teil des Netzes von E.ON. Im westlichen Gebiet, dem der andere Teil des Netzes von E.ON sowie die Gebiete von EnBW Transportnetze und RWE Transportnetz Strom angehörten, sowie im süd-östlichen Bereich herrschten Unterfrequenzen.

Im nord-östlichen Bereich bestand ein Erzeugungsüberschuss, so dass die Frequenz von 50 auf etwa 51,4 Hz anstieg und sich dann bei etwa 50,4 Hz einpendelte.

Um dem Erzeugungsüberschuss entgegen zu wirken, fuhren die Netzbetreiber in diesem Gebiet kurzfristig Erzeugungsleistungen zurück oder nahmen sie gänzlich vom Netz.
Zudem wurden Pumpen in Pumpspeicherwerken aktiviert.

Im westlichen Bereich sank die Frequenz auf 49,0 Hz, im süd-östlichen auf rund 49,7 Hz.

In diesen Bereichen wurden kontrolliert Verbraucher vom Netz genommen, Pumpleistungen in Wasserkraftwerken vom Netz genommen und zusätzlich Erzeugungseinheiten aktiviert.

Um sich einen Überblick über die Lage zu verschaffen, nahmen einige Netzbetreiber nach 22:10 Uhr untereinander Kontakt auf. Auf diese Weise erfuhren sie, dass im gesamten Verbundnetz eine Störung bestand, die die Auftrennung des Netzes in drei Subsysteme zur Folge gehabt hat.

Ab 22:34 Uhr wurde versucht, das nordöstliche und westliche Subsystem wieder zu synchronisieren.

Die ersten Schaltungen verliefen jedoch erfolglos, da die Frequenzunterschiede noch zu hoch waren.

Um 22:47 Uhr gelang es, das nordöstliche und westliche Subsystem wieder zu synchronisieren.

Ebenfalls um 22:47 Uhr erfolgte nach und nach erfolgreich die Zuschaltung von in Deutschland ausgefallenen Leitungen.

Bereits zuvor war versucht worden, Leitungen wieder zuzuschalten, doch stellte sich dabei vereinzelt heraus, dass die Leitungen noch nicht belastbar waren und somit wieder auslösten, also erneut stromlos wurden.

Um 23:57 Uhr waren die europäischen Teilnetze wieder vollkommen miteinander verbunden. Ungefähr zu diesem Zeitpunkt waren auch die Verbraucher – europaweit waren nach Angaben der UCTE mehr als 15 Millionen Menschen zeitweise stromlos – wieder versorgt."
 
Diesen gravierenden Störfall nahmen die vier deutschen Übertragungsnetzbetreiber in ihrer Langfristanalyse zum Kohleausstieg als Grundlage für ihre Analyse der Frequenzstabilität in Deutschland.

Dabei betrachten sie europaweite Gebiete mit Über- und Unterfrequenz in Folge eines Netzungleichgewichtes durch entweder zu viel oder zu wenig Stromerzeugung.
 
 
[Quelle: Langfristanalyse S. 29]
 
Kommt es durch Schutzgeräte zu automatischen oder durch menschliches Unvermögen zu unerlaubten manuellen Schalthandlungen im europäischen Verbundnetz, kann dies zu Teilnetzbildungen (grün, blau, rot) führen. In den nordöstlichen (grünen) Gebieten Europas können nach einer Netzauftrennung, durch die angenommene hohe vorhandene Windeinspeisung, Leistungsüberschüsse von bis zu +34 GW auftreten. Dank der Teilnetzbildung ohne Verbindung zu den anderen sich bildenden europäischen Teilnetzen, ist kein Export dieser Leistungsüberschüsse in die anderen Teilnetze mehr möglich.
In Folge dessen entstehen im nordöstlichen (grünen) Teilnetz Frequenzgradienten von bis zu +5,5 Hz/s. Es kommt zu einem sogenannten Überfrequenzereignis.

Laut den ÜNB sind nur maximale Frequenzänderungen von +2 Hz/s erlaubt.

Um diese bis zu +34 GW auftretenden Leistungsüberschüsse im Nordosten des Verbundnetzes ab dem Jahr 2030 zu beherrschen, müssen instantan andere vorhandene Erzeugerkapazitäten wie Gaskraftwerke in ihrer abgegebenen Wirkleistung heruntergefahren und/oder in den Phasenschieberbetrieb gesteuert werden, und/oder Pumpspeicherkraftwerke in den motorischen Betrieb und/oder in den Phasenschieberbetrieb überführt werden, und/oder Batteriegroßspeicher und/oder PV-Batteriespeicher aufgeladen werden, und/oder die Windenergieanlagen abgeregelt werden, und/oder große Lasten wie Großelektrolyseure an das Netz geschaltet werden. Und das alles innerhalb kürzester Zeit.

Zum sofortigen augenblicklichen physikalischen Erstauffangen der Überfrequenz von +5,5 Hz im Nordosten Europas mittels vorhandener Netzträgheiten, bedarf es laut den Übertragungsnetzbetreibern eines deutschen nordöstlichen Anteils an der notwendigen Momentanreserve von 496,1 GWs. Dieser erforderliche deutsche Momentanreserveanteil ist aber bis 2030 von Seiten Deutschlands auf keinen Fall vorhanden. Es wird von den ÜNB in ihren Simulationsmodellen lediglich mit einer "virtuellen" innerdeutschen oder ausländischen lastnahen Momentanreserve gerechnet, um dadurch eine zusätzliche Belastung der beteiligten Netzelemente zu vermeiden (siehe S. 31 der Langfristanalyse).

Es kommt zu einer Unterdeckung von 496,1 GWs minus 344,9 GWs = 151,2 GWs an erforderlicher Momentanreserve. Das entspricht (bei einer angenommenen Netzanlaufzeitkonstante von Tj = 8 s) der Momentanreserve von 17 rotierenden Turbinen-Generatorensätze des Rostocker Steinkohlekraftwerkes mit einer jeweiligen elektrischen Bruttoleistung von 553 MW.
 
[Quelle: Langfristanalyse S. 31]
 
Somit kann, aus heutiger Sicht der vier Übertragungsnetzbetreiber, ein Überfrequenzereignis ab dem Jahr 2030 nicht sicher beherrscht werden. Es fehlen 151,2 GWs an negativer Momentanreserve. Damit ist die Gefahr eines großflächigen, länger andauernden Stromausfalls gegeben.

Bemerkung: Wie die in der obigen Tabelle der ÜNB angegebenen Zahlen zustande kommen und wie sie zueinander in Beziehung stehen, ist dem Autor unklar.

Bei einem Netzungleichgewicht, wo in einem Netzgebiet ein Mangel an Erzeugerleistung herrscht, kommt es zu einem sogenannten Unterfrequenzereignis.
Laut den Modellen der Übertragungsnetzbetreiber (ÜNB) verschiebt sich die Schnittkante des betroffenen (grünen) Gebietes an die süddeutsche Grenze, sodass ganz Deutschland im betroffenen nordöstlichen Teilnetz von Europa liegt.

In diesem (grünen) Teilnetz gehen die ÜNB von einem entstehenden Leistungsmangel von bis zu -22 GW aus (siehe S. 32 der Langfristprognose). Es entstehen voraussichtlich Frequenzgradienten von bis zu -2 Hz/s.

Auf S. 33 ihrer Langfristprognose geben die ÜNB folgendes Szenario an:
 
[Quelle: Langfristanalyse S. 33]
 

Die für die Aufrechterhaltung der Netzfrequenz von 50 Hz bei einem Leistungsdefizit nach einer Netztrennung benötigte Momentanreserve beträgt 404 GWs. Optimistischerweise gehen die ÜNB für diesen Fall davon aus, dass genügend Momentanreserve vor allem aus Batteriegroßspeichern und PV-Batteriespeichern (zur privaten Eigenversorgung) zur Verfügung stehen.

Ab 2025 rechnen die vier ÜNB mit 24,9 GW an installierter und auch voll zur Verfügung stehender Großbatterieleistung und 20,9 GW an privater PV-Batterieleistung. Im Falle eines prognostizierten Unterfrequenzereignisses müssten diese Batteriespeicher diese Leistung instantan abgeben können um die erwartete Frequenzänderung von bis zu -2 Hz/s auffangen zu können.

Laut der Seite Battery-Charts der RWTH Aachen sind im Juni 2025 in Deutschland 2,0 GW an Großbatteriespeicher sowie 10,6 GW an PV-Batteriespeicher installiert. Für die Großbatteriespeicher ergibt das lediglich 8,6 % der laut den ÜNB benötigten Leistung an Großbatteriespeicher von 23,2 GW. Bei den privaten PV-Batteriespeicher sind es dementsprechend bereits 50,72 %. Wie sollen innerhalb der verbleibenden Zeit bis Ende 2025 die fehlenden 22,9 GW an Batteriegroßspeicher und die fehlenden 10,3 GW an PV Batteriespeicher zugebaut werden? Und wie soll von den Übertragungsnetzbetreibern auf die privaten PV-Batteriespeicher zugegriffen werden?

Mithin ist ab 2025 die notwendige Momentanreserve weder im Nord-Osten noch im Süd-Westen Deutschlands gesichert!

Laut Marktstammregister (MaStR) sind bis Oktober 2027 lediglich 3,8 GWh an Zubau für Großbatteriespeicher geplant. Das entspricht einer ungefähren Batterieleistung von 2 GW. Bei den privaten PV-Batteriespeicher beläuft sich die im MaStR geplante Kapazität bis 2027 (Stand Oktober 2024) auf 156,1 MWh, was einer Leistung von ca. 0,08 GW entspricht. Die geplante Kapazität der Gewerbespeicher bis Oktober 2027 beträgt lediglich 49,1 MWh und ist in ihrer Leistung somit vernachlässigbar.

 
 
[Quelle: battery-charts.de Figgener et al., The development of battery storage systems in Germany: A market review (status 2023), 2023]
 
Somit kann ab dem Jahr 2030 (nach Abschalten aller Kohlekraftwerke), nach einer durch eine schwere Netzstörung verursachten innereuropäischen Netztrennung, nicht davon ausgegangen werden, dass bei einem Leistungsdefizit von bis zu -22 GW im entstandenen deutschen Teilnetz, die resultierende Frequenzänderung von bis zu -2 Hz/s, durch die dann real vorhandene Momentanreserve eingefangen werden kann. Damit ist die Gefahr eines großflächigen, länger andauernden Stromausfalls gegeben.
 
Bemerkung: Wie die in der obigen Tabelle der ÜNB angegebenen Zahlen zustande kommen und wie sie zueinander in Beziehung stehen, ist dem Autor unklar.
 
 
 
 
 
Landesweiter Blackout in Spanien und Portugal am 28.04.2025
 
[Quelle: netztransparenz.de]
 

Blackout in Spanien und Portugal. Gezeigt ist der Frequenzverlauf in der Synchronzone Kontinentaleuropas am 28. April 2025. Es zeigen sich zwei Einbrüche in der Frequenz. Zum einen um 09:03:36 Uhr und zum anderen um 12:33:44 Uhr. Der erste Frequenzeinbruch blieb zunächst folgenlos, der zweite Frequenzeinbruch war der Zeitpinkt des landesweiten Blackouts in Spanien unnd in Folge auch in Portugal. Die Tiefe der beiden Frequenzeinbrüche sind gleich. Sie sind aber noch in einem völlig normalen Bereich, in dem nicht einmal alle Kraftwerksreserven (ab 49,8 Hz) hätten aktiviert werden müßten. Der Frequenzeinbruch um 12:22:44 hatte einen Gradienten von delta (f) / delta (t) = (49,844 Hz - 50,000 Hz) / (12:33:44 - 12:32:20) = -0,156 Hz / 84 s = 0,001857 Hz/s. Das ist weit weg von dem bei Entso-e maximal definierten Frequenzgradienten von 1 Hz/s, respektive von 2 Hz/s im Fehlerfall. Somit gab es für kein ROCOF-Relais ein Auslösegrund.

Die Netzleistungzahl Lamda beträgt im Synchrongebiet Kontinentaleuropa 15 GW/Hz.

 
 
Aus der oberen Formel und mit dem zum Zeitpunkt des Blackouts geherrschten Frequenzeinbruchs von -0,156 Hz ergibt sich ein Erzeugerdefizit von lediglich 2,34 GW in der Synchronzone von Kontinentaleuropa.
 
 
 
 
 
 
 
 
 
 
 
 
 
 
 
 
 
 
 
 
 
 
Hier ein Zwischenbericht des spanischen Übertragungsnetzbetreibers Red Electrica zum Blackout in Englisch und in Deutsch.
 
 
Chronologie der Ereignisse
 
  • 00:00–06:00 Uhr:
    • Betriebsbedingungen normal, niedrige Nachfrage, stabile Spannungsprofile im Übertragungsnetz.
    • Keine nennenswerten Spannungsabweichungen oder Oszillationen.

  • 06:00–09:00 Uhr:
    • Änderung im Stromexport nach Frankreich führt zu Spannungsabfällen, während die Nachfrage steigt.
    • Zwei interregionale Oszillationen mit sehr niedriger Amplitude im europäischen System, ohne Konsequenzen.

  • 07:15–07:20 Uhr:
    • Photovoltaikanlagen beginnen mit der Stromproduktion, die im Laufe des Vormittags zunimmt.

  • 09:00–09:30 Uhr:
    • Erheblicher Anstieg der Sonneneinstrahlung führt zu einem Shift im Erzeugungsmix hin zu dominanter Solarproduktion.

  • 09:00–12:00 Uhr:
    • Größere Spannungsvariabilität durch Änderungen im Erzeugungsmix und Nachfrageschwankungen, aber keine größeren Abweichungen.
    • Ab 10:00 Uhr: Spannungsvariationen in Übertragungsnetz-Umspannwerken durch Änderungen im Stromexport und/oder Ausgleichsenergie.

  • 10:30 Uhr:
    • Interregionale Oszillation (0,2 Hz) im europäischen System mit Spannungsschwankungen bis zu 4 kV (1 % der Nennspannung).

  • 11:00 Uhr:
    • Spannungen fallen in einigen Umspannwerken um etwa 10 kV unter 400 kV.

  • 11:03 Uhr:
    • Interregionale Oszillation (0,2 Hz) im europäischen System mit Spannungsschwankungen bis zu 7 kV (2 % der Nennspannung).

  • 11:04–11:09 Uhr:
    • Spannungserholung: Anstieg um etwa 30 kV in einigen Umspannwerken.
    • Abschaltung von ADIF-Transformatoren in Terrer und Rueda de Jalón (Zaragoza) auf der 55-kV-Ebene, vermutlich durch zu langsame Anpassung der Transformatorstufen.

  • 11:23 Uhr:
    • Interregionale Oszillation (0,2 Hz) im europäischen System mit Spannungsschwankungen bis zu 6 kV (1,5 % der Nennspannung).

  • 12:00 Uhr:
    • Systembedingungen entsprechen den Betriebsvorschriften: Spannung und Frequenz im normalen Bereich, Dämpfung der 0,2-Hz-Oszillation bei 20 %.

  • 12:03–12:07:42 Uhr (EVENT 1):
    • Signifikante 0,6-Hz-Oszillation für 4 Minuten und 42 Sekunden, Dämpfung der 0,2-Hz-Frequenz sinkt von 20 % auf 5 %.
    • Spannungsschwankungen bis zu 30 kV (zwischen 375 kV und 410 kV).
    • Maßnahmen des REE-Kontrollzentrums:
      • Kopplung von 400-kV-Leitungen zur Reduktion der Systemimpedanz.
      • Reduktion des Stromexports nach Frankreich um 800 MW auf 1.500 MW.
      • Umstellung des HVDC-Links mit Frankreich auf Konstantleistungsmodus (1.000 MW von Spanien nach Frankreich).
      • Abschaltung von Blindleistungsreaktoren zur Minderung von Unterspannungen.
    • Reduktion des Stromexports nach Portugal durch Ausfall der 400-kV-Leitung Badajoz (Brovales–Alqueva).

  • 12:06–12:08 Uhr:
    • Kopplung der 0,6-Hz- und 0,2-Hz-Oszillationen im Stromexport nach Frankreich.

  • 12:15 Uhr:
    • Photovoltaikanlage in Badajoz (PV Plant A) erhöht Leistung von 250 MW auf 350 MW, keine Schwankungen in der Wirkleistung, aber Variationen in der Blindleistung.

  • 12:16–12:22 Uhr (EVENT 1, Fortsetzung):
    • Wiederauftreten der 0,6-Hz-Oszillation mit Spannungsschwankungen zwischen 380 kV und 405 kV.
    • Abschaltung weiterer Blindleistungsreaktoren zur Minderung von Unterspannungen.
    • Analyse zeigt: Oszillation war erzwungen, ausgelöst durch eine Photovoltaikanlage in Badajoz (PV Plant A, ca. 250 MW), vermutlich durch interne Regelungsstörung.

  • 12:19 Uhr (EVENT 2):
    • Neue 0,2-Hz-Oszillation (West-Zentral-Ost-Europa) mit initialer 0,6-Hz-Oszillation.
    • Spannungsschwankungen bis zu 28 kV (zwischen 375 kV und 412 kV) in Almaraz 400 kV.
    • Maßnahmen:
      • Kopplung von 400-kV-Leitungen.
      • Reduktion des Stromexports nach Frankreich auf 1.000 MW (kein Nettoexport über AC-Leitungen).
      • Reduktion des Stromexports nach Portugal von 2.545 MW auf 2.000 MW (minus 545 MW).
    • Spannungsanstieg durch Maßnahmen, aber innerhalb der Betriebsgrenzen.

  • 12:22 Uhr:
    • Spannungsanstieg im ganzen Land, REE-Kontrollzentrum koppelt Blindleistungsreaktoren zur Gegensteuerung.
    • Verteilnetz injiziert 760 Mvar Blindleistung (v.a. in Madrid und Valencia).
    • Anomale Nachfragesteigerung um 845 MW:
      • 152 MW durch Leistungsverlust von Erzeugungsanlagen >1 MW.
      • Ca. 700 MW durch Verlust von Anlagen <1 MW und Eigenverbrauch.
    • Entscheidung, zusätzliche konventionelle Erzeugung (P.O. 7.4-konform) im Süden anzufahren (Startzeit 90 Minuten, geplant für 14:00 Uhr, nicht umgesetzt).

  • 12:27 Uhr:
    • Beginn der Anpassung des Stromexports nach Portugal.

  • 12:30 Uhr:
    • Spannung und Frequenz innerhalb der Betriebsgrenzen (375–435 kV für 400 kV, 200–245 kV für 220 kV).
    • Anstieg der Spannung durch Programmfenster-Anpassungen (±5 Minuten).

  • 12:32:00–12:32:57 Uhr:
    • Export nach Frankreich sinkt von 1.500 MW auf nahezu null.
    • Ereignisse:
      • Reduktion der Wirkleistung von RCW-Erzeugung (erneuerbare, Kraft-Wärme-Kopplung, Abfall) führt zu geringerer Blindleistungsabsorption und Spannungsanstieg.
      • Anomale Nachfragesteigerung um 434 MW (v.a. in Madrid, Valencia, Sevilla, etc.), verursacht durch Leistungsverlust von verteilten Erzeugungsanlagen (117 MW) und Eigenverbrauch.
      • Nachfrage ist spannungsabhängig, steigende Spannung erhöht Nachfrage.
      • Weniger Leistungsfluss durch Übertragungsleitungen reduziert Blindleistungsverbrauch.
      • Konventionelle Erzeugung (P.O. 7.4) absorbiert nicht die erwartete Blindleistung, insbesondere in Andalusien, Extremadura und Kastilien-La Mancha.

  • 12:32:57 Uhr (EVENT 3):
    • Abschaltung eines 400/220-kV-Transformators in Granada (355 MW, 165 Mvar absorbierend), Spannung steigt von 418 kV auf 424 kV.
    • Ursache: Vermutlich zu langsame Anpassung der Transformatorstufen, keine Überspannung im 400-kV-Netz.

  • 12:33:16.460 Uhr (EVENT 4):
    • Abschaltung einer Erzeugungsanlage in Badajoz (582 MW) an Umspannwerk A.
    • 360 ms später: Abschaltung einer Photovoltaikanlage in Badajoz (145 MW) an Umspannwerk B.
    • Verlust von 727 MW und zugehöriger Blindleistungsabsorption.
    • Ursache: Vermutlich interne Anlagenbedingungen (z. B. zu langsame Transformatorstufen), keine Überspannung im 400-kV-Netz.

  • 12:33:17.368 Uhr (EVENT 5):
    • Abschaltung von drei Windparks (132 kV, 23 MW) an Umspannwerk C.
    • 80 ms später: Abschaltung einer Photovoltaikanlage (118 MW) an Umspannwerk C.
    • 27 ms später: Abschaltung eines Windparks und einer Photovoltaikanlage (34 MW) in Huelva (220 kV).
    • 233 ms später: Abschaltung einer Erzeugungsanlage in Sevilla (550 MW).
    • 200 ms später: Abschaltung einer Photovoltaikanlage in Cáceres (37,5 MW).
    • 40 ms später: Abschaltung einer Photovoltaikanlage in Badajoz (72 MW).
    • Verlust von 834 MW (Schätzung: 1.150 MW) innerhalb von 650 ms.
    • Ursache: Vermutlich zu langsame Transformatorstufen oder unzureichende Überspannungsschutz-Einstellungen.

  • 12:33:19.620 Uhr:
    • Maximaler Import aus Frankreich: 3.807 MW (4.609 MW über AC-Netz), Verlust der Synchronisation.

  • 12:33:19.971 Uhr:
    • Überspannungsabschaltung der 220-kV-Leitung Arganda–Loeches durch Messfehler eines Spannungswandlers.

  • 12:33:20 Uhr:
    • Frequenz fällt auf 49,5 Hz, Abschaltung eines Kraftwerks (Verlust von Spannungsregelung und Trägheit).
    • Lastabwurf von ca. 2.000 MW Pumpspeicher (erster Schritt).

  • 12:33:20.758 Uhr:
    • Frequenz fällt auf 49,3 Hz, Lastabwurf von 588 MW Pumpspeicher (zweiter Schritt).

  • 12:33:21 Uhr:
    • Frequenz fällt auf 49,0 Hz, Lastabwurf von 1.402 MW Industriekunden und Verteilnetzlasten.

  • 12:33:22 Uhr:
    • Abschaltung der Verbindung nach Marokko durch Unterfrequenzschutz (Verlust von 314 MW Import).

  • 12:33:23.076 Uhr:
    • Überspannungsabschaltung der 400-kV-Leitung Valdecaballeros–Maguilla (Spannung >480 kV).

  • 12:33:24 Uhr:
    • Frequenz fällt auf 48,46 Hz, Abschaltung der AC-Verbindungen nach Frankreich (HVDC bleibt bei 1.000 MW Export).
    • Spanisches und portugiesisches System isoliert, fortlaufender Lastabwurf und Erzeugungsverluste.

  • 12:33:25.868 Uhr:
    • Frequenz fällt auf 47,79 Hz, Abschaltung eines Kraftwerks.

  • 12:33:26.626 Uhr:
    • Abschaltung eines weiteren Kraftwerks.

  • 12:33:26.681 Uhr:
    • Abschaltung eines letzten Kraftwerks, vollständiger Systemzusammenbruch.
 
 
Zusammenfassung
 
Die Ereignisse begannen mit normalen Betriebsbedingungen, gefolgt von Spannungs- und Frequenzschwankungen, die durch eine erzwungene 0,6-Hz-Oszillation einer Photovoltaikanlage in Badajoz ausgelöst wurden. Maßnahmen zur Dämpfung führten zu Spannungsanstiegen, die durch unzureichende Blindleistungsregelung und unsachgemäße Abschaltungen verschärft wurden. Eine Kaskadenabschaltung von Erzeugungsanlagen (ca. 2.000 MW) führte innerhalb von 22,5 Sekunden zum vollständigen Blackout.
 
Hier der Untersuchungsbericht von entso-e sowie der wahre Erzeugermix (abweichend von der Darstellung bei energy-charts.info) von Spanien und Portugal vor und nach dem Blackout.
 
 
 
 
 
 
Aktuell vorhandene mechanische Momentanreserve und ihr möglicher Ersatz durch eine elektrische Momentanreserve
 
Laut der Kraftwerksliste des Umweltbundesamtes gibt es in Deutschland noch 68 reine Braun- oder Steinkohlekraftwerke mit einer Bruttoleistung von insgesamt Pbrutto = 36.479,40 MW. Wenn diese Leistung ab 2030 nicht mehr als Momentanreserve für das deutsche Stromnetz zur Verfügung steht, fehlt den deutschen Übertragungsnetzbetreibern nicht nur ein Drittel ihrer konventionellen Stromversorgung, sondern auch ein Drittel ihrer Momentanreserve. Diese gilt es zu ersetzen. An Stelle dieser wegfallenden mechanischen Schwungmassen müssen, aus Gründen der Netzstabilität im Störungsfall, also elektrische Schwungmassen installiert werden. Die Momentanreserven der Windräder sollen im nachfolgenden unberücksichtigt bleiben, weil sie erstens nicht planbar sind und zweitens, im Falle von Windflauten, sowieso nicht zur Verfügung stehen. Sollten sie schaltungs- und steuerungstechnisch dennoch zu einer gewisssen Momentanreserve ertüchtigt werden, spricht nichts dagegen. Sie würden dann einen zusätzlichen positiven Beitrag zur Momentanreserve über die im Weiteren berechnete elektrisch gespeicherte Momentanreserve leisten.

Die ab 2030 fehlende Momentanreserve der Kohlekraftwerke von Pbrutto = 36.479,4 MW = Pbrutto = 36,48 GW, entspricht bei einer Netzfrequenz von f = 50 Hz und einer angenommenen, verringerten Netzanlaufzeitkonstante von Tj = 8 s einer gespeicherten Energie von Wrot = 0,5 x 36,48 GW x 8s x 50Hz : 50Hz = 145920 MWs = Wrot = 145,92 GWs.
 
 
 
 
 
 
 
 
 
 
 
Der Volatilitätskoeffizient der Erzeugung VK_e berechnet sich aus der Standardabweichung der im jeweiligen Jahr erzeugten Leistungen geteilt durch den Mittelwert der erzeugten Leistungen.
 
 
 
Der Volatilitätskoeffizient der Belastung VK_b berechnet sich aus der Standardabweichung der im jeweiligen Jahr verbrauchten Leistungen geteilt durch den Mittelwert der verbrauchten Leistungen.
 
 
 
Der Volatilitätskoeffizient aus Erzeugung und Belastung VK_eb ist der Mittelwert aus dem Volatilitätskoeffizienten der Erzeugung VK_e und dem Volatilitätskoeffizienten der Belastung VK_b.
 
 
 

Die Netzstabilitätszahl NSZ wird folgendermaßen berechnet:

1. Es wird in dem betrachteten Zeitraum (2015 - 2025) der höchste Wert für die gemittelte jährliche Momentanreserve festgestellt.
2. Auf diesen Maximalwert werden die jeweiligen gemittelten jährlichen Momentanreserven bezogen. Es ergibt sich eine Höchstzahl von 1 für das jeweilige Land.
3. Die bezogenen Momentanreserven werden abschließend durch den jeweiligen Volatilitätskoeffizienten der Erzeugung und der Belastung VK_eb geteilt. Je größer die sich nun ergebene Zahl, desto stabiler ist das Netz. Eine hohe Netzstabilitätszahl NSZ ist gekennzeichnet durch eine hohe Momentanreserve und geringer Volatilität in der Erzeugung und im Verbrauch. Besitzt ein Netz keinerlei Volatilitäten, steigt die Netz-Stabilitätszahl ins Unendliche.

 
 
 
 
In dem Begleitschreiben der Übernetzbetreiber zum NEP 2035 V2021 wird ab Seite 21 ein Systemsplit, ähnlich wie dem von 2006, untersucht:
 
 
Um diese Netztrennung zu beherrschen, haben die ÜNB für das südwestliche (blaue) Teilnetz einen deutschen Anteil an notwendiger Momentanresere von 70 GWs und für das nordöstliche (grüne) Teilnetz einen deutschen Momentanreserveanteil von 592 GWs für die Einhaltung eines Frequenzgradienten von 1 Hz/s in den jeweiligen Teilnetzen errechnet.
 
 
Folgende Maßnahmen sollen diese notwendige Momentanreserve zur Verfügung stellen:
 
 
Stand heute wurde davon bisher nichts realisiert. Weder die Windenergieanlagen, die PV-Anlagen, die Batteriegroßspeicher noch die Blindleistungsanlagen liefern bisher eine (elektrische) Momentanreserve in nennenswerten Größenordnungen. Einzig und allein die Schwungmassen der aktuell am Netz laufenden Synchrongeneratoren sorgen für (mechanische) Momentanreserve. Allerdings hat sich diese im Laufe der letzten 10 Jahre (gewollt) stark verringert. Eine zunehmende Gefahr für die europäische Netzstabilität.
 
 
 
 
Beim relativen Volatilitätskoeffizient beziehen sich die 100 % auf den geringsten ermittelten Wert im betrachteten Zeitraum. Bei der relativen Schwungmasse beziehen sich die 100 % auf den höchsten ermittelten Wert im betrachteten Zeitraum.
 
 
Bei der relativen Stabilitätszahl beziehen sich die 100 % auf den höchsten ermittelten Wert im betrachteten Zeitraum.
 
 
 
 
Will man diese Energie elektrisch zur Verfügung stellen, gibt es nach der Arbeit von Milan Lazic bestimmte Kriterien zu beachten. Zunächst einmal muß diese Energie elektrisch gespeichert werden.

Als elektrische Speicher kommen nach Milan Lazic nur (wenn überhaupt) folgende Speichertechnologien in Betracht:
 
 
[Quelle: Milan Lazic]
 
Diese Speicher müssen in der Lage sein, die Momentanreserve so schnell wie nötig zur Verfügung zu stellen um sich danach (bestenfalls genauso schnell) wieder auf die notwendige Momentanreserve aufzuladen. Darüber hinaus sollten die Speicher auch eine größtmögliche Anzahl an Lade- und Entladezyklen aushalten, um so eine lange Lebensdauer der Speicher zu gewährleisten.

Aus der oberen Tabelle von Milan Lazic sticht besonders der Elektrolytkondensator (Elko) hervor. Er hat eine Verzögerungszeit von 0 s und darüber hinaus auch die geringste Umladezeit. Außerdem hält er die meisten Umladeprozesse (Zyklen) von allen dort aufgeführten Speichertechnologien aus. Als gänzlich ungeeignet sieht Milan Lazic die Akkumulatoren (Batteriespeicher) als Einsatz für eine elektrische Schwungmasse. Ihre Umladezeit ist viel zu hoch und ihre Zyklenzahl viel zu gering. Deswegen soll im Weiteren ausschließlich mit Elektrolytkondensatoren gearbeitet werden.

Als Beispiel für die Betriebsspannung des elektrischen Speichers für die Momentanreserve soll das modernste Steinkohlekraftwerk Deutschlands, Datteln 4, herangezogen werden. Der Turbogenerator dieses Kraftwerkes ist (nach eigener Recherche) ein 2-poliger Gigatop-Generator der Firma General Electric:


 
[Copyright: GE Vernova]
 
Diesen, mit 3000 U/min rotierenden Generator, kann man in Leistungsklassen zwischen 590 MVA und 1400 MVA und Klemmenspannungen zwischen 18 kV und 27 kV bestellen. Der Generator von Datteln 4 hat eine elektrische Bruttoleistung von 1100 MW. Im Weiteren wird für den Generator mit einer Klemmenspannung von 20 kV gerechnet.

Um den notwendigen Speicher zu konstruieren, verwenden wir Elektrolytkondensatoren der Firma TDK mit einer Kapazität von 18000 Mikrofarad, einer Nennspannung von 350 V und einem M12-Schraubanschluß zur Befestigung (Teilenummer: B437*0A4189M0##). Dieser Kondensator hat eine Höhe (incl. Schraubanschluß) von ca. 240 mm und ein Durchmesser von 91 mm.

Die elektrische Anschaltung dieses aus Kondensatoren aufgebauten elektrischen Speichers erfolgt entsprechend der Arbeit von Milan Lazic im sogenannten Zwischenkreis:
 
 
[Quelle: Milan Lazic]
 
Eingangsseitig erhält dieser Zwischenkreisspeicher seine Energie aus einem PV-Generator mit nachgeschalteten DC-DC-Wandler. Ausgangsseitig hängt der Zwischenkreisspeicher an einem DC-AC-Wandler, also an einem Netzwechselrichter mit nachgeschaltetem Transformator. Dieser Transformator hebt die Ausgangsspannung des Zwischenkreiswechselrichters auf die 20 kV des oben als Referenz genommenen Turbogenerators der Firma General Electric an. Damit speist der Speicher seine Momentanreserve zunächst in das sogenannte Mittelspannungsnetz ein. Über einen weiteren Transformator 20 kV / 380 KV kann dann in das Höchstspannungnetz der Übertragungsnetzbetreiber eingespeist werden.

Nimmt man in der weiteren Berechnung an, dass der Eingangs-DC/DC-Wandler an seinen Ausgangsklemmen eine Nenngleichspannung von 600 V erzeugt, dann müssen mindestens zwei Kondensatoren des Zwischenkreisspeichers in Reihe geschaltet werden. Teilt man diese 600 V auf die beiden in Reihe geschalteten Kondensatoren auf, liegen an jedem Kondensator 300 V Gleichspannung an. Ist jeder Kondensator auf die halbe Zwischenkreisspannung von 300 V aufgeladen, ergibt sich für beide Kondensatoren eine gespeicherte elektrische Energie entsprechend nachfolgender Gleichung:
 
 

Bei einer Nennkapazität von 18000 uF und einer Spannung von 300 V sind das 810 Ws. Somit hat ein Kondensatorstring mit zwei in Reihe geschalteten Kondensatoren eine gespeicherte Gesamtenergiemenge von 1620 Ws.

Damit die notwendige fehlende kinetische Energie der bis 2030 vom Netz genommenen Kohlekraftwerke durch den elektrischen Speicher kompensiert werden kann, benötigt man bei einer angenommenen Netzanlaufzahl Tj = 8 s und einem Kohlekraftwerkspark von 27881 MW eine Energie von E = 0,5 x 27881 MW x 8 s = 111524 MWs = E = 111,524 GWs. Das sind 111.524.000.000 Ws. Um diese Energie mit den obigen Kondensatorstrings zu realisieren, müßten 68.841.975 dieser Strings parallel geschaltet werden. Dazu müßte man 137.683.950 Stück Elektrolytkondensatoren der Firma TDK verbauen. Beim Online-Händler Conrad-Electronic kann man ein Tray mit 18 Stück dieser Kondensatoren für 5935 € incl. MwSt. (Stand 02.06.2025) kaufen. Für die benötigten 137,69 Mio. Kondensatoren müßten also finanzielle Mittel in Höhe von 45399,45 Mio Euro aufgewendet werden. Das sind 45,4 Mrd. Euro. Und das ohne weitere Baukosten für Material und Personal.

Jeder der hier verwendeten Kondensatoren hat ein Volumen von ca. 0,00577 m³. Alle 137,69 Mio. benötigten Kondensatoren hätten dann ein Bauvolumen von 794.471,3 m³ oder 1,04 Mio. m³. Mit zusätzlichen Anschluß- und Befestigungsmaterialien und notwendigen Kühlmaßnahmen, sowie erforderlichen Montage- und Inspektionsabständen, käme man sehr wahrscheinlich auf ein fünftel des Innenvolumens der Cargolifter-Halle in Brandenburg von 5,5 Mio. m³.

Jeder Kondensator wiegt ohne Anschluß- und Montagematerial 1900 g. Geht man von einem Gesamtgewicht für einen montierten und angeschlossenen Kondensator von 2000 g aus, wiegt der gesamte Speicher 2 kg mal 137.683.950 = 275.367.900 kg = 275.367,90 Tonnen = 275,37 Kilotonnen. Das entspricht ungefähr der Hälfte von dem Gewicht des Kölner Doms.

Laut der Seite energy-charts des Fraunhofer Instituts, hatte Deutschland im Jahr 2023 von den am Netz befindlichen Braun- und Steinkohlekraftwerken, eine durchschnittliche Wirkleistung von Pbrutto = 12.845,74 MW abgefordert. Die von den Braun- und Steinkohlekraftwerken im Jahr 2023 maximal gelieferte elektrische Leistung betrug insgesamt 30.404,8 MW, die minimal abgerufene elektrische Leistung belief sich auf 3260,4 MW.

Für die 2025 noch vorhandenen installierten Kohlekraftwerke von 30150 MW ergibt sich bei einer angenommenen Netzanlaufzeitkonstante von Tj = 8 s, zunächst eine kinetische Rotationsenergie von Wrot = 0,5 x 30,15 GW x 8 s = Wrot = 120,6 GWs. Es würde also dann für eine vergleichbare elektrische Momentanreserve eine elektrische Energie von E = 120,6 GWs in den Kondensatoren zu speichern sein. Dazu bedarf es dann 372,22 Mio. TDK-Kondensatoren.

Allerdings tut es nicht not, die gesamte gespeicherte Rotationsenergie von 120,6 GWs durch eine elektrische Momentanreserve zu ersetzen. Es braucht lediglich nur der Bereich der abweichenden aktuellen Frequenz bei Lastsprüngen zwischen 47,5 Hz und 52,5 Hz abgedeckt zu werden. Also nur für eine Frequenz von 2,5 Hz nach unten oder oben, ausgehend von der Nennfrequenz von 50 Hz.
Somit ergibt sich zum Beispiel die benötigte elektrische Momentanreserve bei einer maximalen Frequenzabsenkung bis zur Netztrennung der Kraftwerke zu Enotwendig = 120,6 GWs - 0,5 x 30,15 x 8 s x (47,5 Hz / 50 Hz)² = 11,76 GWs. Das sind ungefähr nur 10 % der mechanischen Momentanreserve, welche für den gesamten Drehzahlbereich intrinsisch vorhanden ist.


Die Netzbetreiber allerdings fordern in ihrem Begleitdokument zu den Stabilitätsanalysen 2030 auf Seite 6 (4. Absatz) eine zusätzliche Momentanreserve von E = 600 GWs. Ansonsten können die Übertragungsnetzbetreiber die Frequenzstabilität im kohlefreien Stromsystem des Jahres 2030 nicht mehr gewährleisten. Diese, von den Netzbetreibern für die notwendige Momentanreserve als erforderlich angesehene Energiemenge, entspricht dann einem Kondensatoraufwand von 745 Mio. TDK-Kondensatoren.

Die Übertragungsnetzbetreiber schlagen dazu folgende Maßnahmen vor:

1. Windenergie- und Photovoltaikanlagen
2. Gaskraftwerke im Phasenschieberbetrieb
3. Batteriegroßspeicher
4. regelbare Blindleistungskompensationsanlagen

Punkt 1:
Diese Momentanreserve fällt spätestens Nachts und/oder bei Windflaute aus bzw. ist entsprechend limitiert. Es sei denn, man liebäugelt mit der in den Zwischenkreiskondensatoren der Netzwechselrichtern gespeicherten Energie als elektrische Momentanreserve. Diese elektrische Energie ist aber im Vergleich zu der in den rotierenden Massen gespeicherten Momentanreserve sehr gering.

Punkt 2:
Laut bestätigtem NEP 2030 auf Seite 28, beträgt die maximal installierte Gaskraftwerksleistung im Jahr 2030
35,2 GW (Szenario B 2030). Wenn diese Gaskraftwerke alle als Phasenschieber am Netz laufen, würden sie eine mechanische Momentanreserve von Wrot = 0,5 x 35,2 GW x 8 s = 140,8 GWs liefern. Das entspräche ungefähr der in den dann bereits abgeschalteten Kohlekraftwerken gespeicherten kinetischen Energie von Wrot = 120,6 GWs.

Laufen sie aber (zur Überbrückung von Dunkelflauten) nicht mehr nur als reine Phasenschieber mit einem Polradwinkel von 0°, sondern gleichzeitig auch als Wirkleistungslieferant am Netz, ist ihr Polradwinkel womöglich bereits im Nennbereich von ca. 40° voreilend. Kommt es dann aber, z.B. infolge eines positiven elektrischen Lastsprunges (es wird plötzlich mehr Wirkleistung gefordert als an momentaner Erzeugerleistung vorhanden ist), zu einer generatorischen Wirkleistungsbelastung an den Klemmen der Synchrongeneratoren, erhöht sich der Polradwinkel einzelner (oder aller) Gaskraftwerksgeneratoren womöglich so weit, dass es zu einem kritischen Polradwinkel kommen kann und das betroffene Kraftwerk womöglich abgeschaltet werden muß.

Punkt 3:
Sind laut Milan Lazic als Momentanreserve ungeeignet (siehe oben). Werden von den Netzbetreibern dennoch präferiert (Studie S. 9).

Punkt 4:
Liefern nur Blindleistung, aber keine für die Frequenzhaltung notwendige Wirkleistung. Dazu bedarf es zum Beispiel der von TransnetBW präferierten STATCOM-GFM Anlagen. TransnetBW schreibt dazu:

"Gegenüber einer herkömmlichen STATCOM, die bereits seit Jahren bei anderen Netzbetreibern eingesetzt wird, kann eine STATCOM-GFM neben der Bereitstellung von Blindleistung auch Wirkleistung schnell aufnehmen und abgeben. Wirkleistung ist die elektrische Leistung, die tatsächlich aus der heimischen Steckdose kommt und zum Beispiel einen Staubsauger zum Laufen bringt. Die STATCOM-GFM erweitert die konventionelle STATCOM um netzbildende Eigenschaften, sogenanntes „Gridforming“. Voraussetzung dafür ist der Energiespeicher, der aus sogenannten SuperCaps besteht.

Bei einem Ungleichgewicht zwischen Erzeugung und Verbrauch im Stromnetz, kann dieses kurzfristig Energie aus der STATCOM-GFM beziehen oder an sie abgeben. Das passiert zum Beispiel, wenn ein großes Kraftwerk oder eine Industrieanlage störungsbedingt ausfällt. Danach ist der Energiespeicher einer STATCOM-GFM leer beziehungsweise voll. Jedoch greift dann schon die Primärregelleistung aus anderen Quellen, wie zum Beispiel aus Batterien.

Wenn man so will, ist eine STATCOM-GFM der erste Fallschirm, der einem Zeit verschafft, bis der zweite Fallschirm aufgeht. Man spricht unter Ingenieuren auch von “Momentanreserve”."

Entsprechend den technischen Spezifikationen der TDK-Kondensatoren:
 
 
[Quelle: TDK]
 
gibt der Hersteller eine maximale Lebensdauer der Kondensatoren von 250.000 Stunden an:
 
[Quelle: TDK]
 
Das allerdings nur unter optimalen Temperatur- und/oder Ripplestrombedingungen. Um die Grenze für die Höhe des Ripplestroms einzuhalten, müßte der eingesetzte DC-DC-Wandler entsprechend konstruiert werden. Würde der fließende Ripplestrom nie größer als 30,8 Aeff werden, könnte die Kühlung der Kondensatoren für eine innere Kondensatortemperatur von 50°C ausgelegt werden, was entsprechende Kosteneinsparungen zur Folge hätte. Gelänge es, den Ripplestrom des DC-DC-Wandlers auf Null zu begrenzen, könnte man bei einer Lebensdauer von 100.000 Stunden (11 Jahre) die Kühlung so konstruieren, dass sich die Kondensatoren bis auf 70°C erwärmen dürfen.

250.000 Stunden entspricht einer Lebensdauer von 28 Jahren. Läßt man aus Sicherheitsgründen nur eine Lebensdauer von 20 Jahren zu, müssten danach alle Kondensatoren getauscht und durch neuwertige Kondensatoren ersetzt werden. Neben den reinen Kosten für die Kondensatoren (68 bis 196 Mrd. Euro, je nach Ausbaustufe der elektrischen Momentanreserve), kämen dann natürlich noch die Personalkosten hinzu. Die avisierten 20 Jahre Betriebsdauer der elektrischen Momentanreserve entspräche auch der angesetzten Lebensdauer des deutschen Wind- und Solarkraftwerkspark (mit Tendenz hin zu 25 Jahren für die Windkraftanlagen und 35 Jahre für die PV-Kraftwerke). Nach dieser Zeit müßte also der gesamte Kraftwerks- und Momentanreservepark einmal runderneuert werden. Im Vergleich zu den während ihrer Betriebsdauer stetig ertüchtigten Kernkraftwerken mit einer realisierbaren Lebensdauer von 100 Jahren, müßte der komplette regenerative Kraftwerkspark in diesen 100 Jahren also mindestens 4 mal ausgetauscht bzw. "gerepowert" werden.

Es ist zu erkennen, dass auch im Fall der Momentanreserve bei der "grünen" Energiewende ausschließlich nur mit Superlativen zu rechnen ist. Dasselbe gilt auch für die Stromerzeugung, für den Stromimport und für die Stromgestehungskosten.

Das deutsche Stromnetz der Zukunft wird also super dezentral, super asynchron, super trägheitsarm, super komplex, super kompliziert, super anspruchsvoll, super fehleranfällig, super instabil, super volatil, super oberschwingungsreich - es hat eine super verringerte Kurzschlußleistung und ist zudem super teuer.


Auf der anderen Hand sind die großen ingenieurtechnischen Herausforderungen der geplanten Stromwende für einen Elektroingenieur aber auch super interessant. Der Autor geht davon aus, dass die (noch) vorhandene Ingenieursleistung ausreichen wird, diese Herausforderungen zu meistern. Was er aber nicht versteht ist, weshalb sich Deutschland überhaupt so ins Risiko begeht, wo doch ein jahrzehntelang stabil betriebener und preiswerter Kraftwerkspark ohne große Auffälligkeiten seine Arbeit getan hat.

Und wenn der knapp 2%-Anteil Deutschlands am weltweiten CO2-Ausstoß schon vermieden werden soll, warum dann nicht durch die sicheren und überaus langlebigen Kernkraftwerke? So wie es die führenden Industrieländer weltweit machen?
 

 
[Quelle: Statista]
 
Die durchschnittliche Betriebsdauer eines Kernkraftwerkes beträgt mindestens 40 Jahre. Mit durchgehenden Ertüchtigungen über die gesamte Lebensdauer und entsprechenden behördlichen Genehmigungen, sind Betriebsdauern darüber hinaus problemlos zu erreichen.
 
 
[Quelle: Statista]
 

Hier noch eine Veröffentlichung der internationalen Kernenergie Agentur IAEA zu den weltweiten Kernreaktoren.

Eine zukunftsfähige Variante der Kernreaktoren stellt der Dual-Fluid-Kernreaktor dar. Dieser ist weitaus effizienter, weitaus sicherer, weitaus billiger als bisherige Kernkraftwerke und produziert Spaltprodukte, die nach spätestens einigen hundert Jahren strahlungstechnisch nicht mehr relevant sind. Des Weiteren verbrennt dieser Reaktortyp die radioaktiven Abfallprodukte der heutigen herkömmlichen Kernkraftwerke.
Außerdem hat dieser Kraftwerkstyp einen enorm hohen Erntefaktor sowie die niedrigsten Stromgestehungskosten aller Kraftwerkstypen:

 
 
[Quelle: dual-fluid.com]
 
Außerdem ist dieser Kraftwerkstyp (wie alle Kernkraftwerke) selbstverständlich grundlastfähig, netzdienlich und witterungsunabhängig im Gegensatz zu den von Deutschland präferierten volatilen Energieerzeugern.
 
Eine Null-Prozent-CO2-Stromversorgung ohne Kernkraftwerke sehen führende Wirtschaftsnationen also offensichtlich als nicht machbar und nicht praktikabel an. Weder für eine kontinuierliche und sichere Energieversorgung, noch für einen wettbewerbsfähigen Strompreis.

Nur Deutschland will sich offensichtlich das volatilste, das fragilste und das teuerste Stromsystem weltweit leisten. Zumal Deutschland sehr wahrscheinlich überhaupt keine CO2-freie Stromversorgung erreichen wird. Denn realistischerweise wird der benötigte Wasserstoff als Ersatz für das bisher in der Stromversorgung verwendete Erdgas niemals in der ausreichenden Menge und für einen akzeptablen wirtschaftlichen Preis zur Verfügung stehen.

Auch die vier Übertragungsnetzbetreiber gehen in ihrer Langfristanalyse zwar von einem deutlichen Absinken der jährlichen CO2-Produktion im Stromsektor von aktuell 208 Mio. t auf 56 Mio. t im Jahr 2030 aus, aber trotz der dann erfolgten Abschaltung aller Kohlekraftwerke bleibt es bei einem CO2-Ausstoß durch die verbliebenen und hinzu gebauten erdgasbetriebenen Backup-Kraftwerke. Und das wird weit über das Jahr 2030 hinaus auch so bleiben. Denn auch der politisch gewollte Wasserstoffhochlauf trifft auf die harte Realität.

Somit bleibt Deutschland, trotz des europaweit höchsten erneuerbaren Strommixes aus Wind und PV in der Stromerzeugung, auch nach der Abschaltung aller Kohlekraftwerke im Jahr 2030 (und darüber hinaus) Europas größter CO2-Emittent. Und bemerkenswerterweise rangiert Deutschland dabei auch noch weit vor Polen:
 
[Quelle: Langfristanalyse 2030 S. 112]
 
Der Bundesrechnungshof schreibt auf S. 32 seines "Berichts nach § 99 BHO zur Umsetzung der Energiewende im Hinblick auf die Versorgungssicherheit, Bezahlbarkeit und Umweltverträglichkeit der Stromversorgung" zum Ausstieg Deutschlands aus der Kernenergie:

"Europäische und nationale energiepolitische Maßnahmen sollten ebenfalls möglichst kohärent sein. Andere EU-Staaten planen, die als klimaneutral eingestufte Kernenergie künftig verstärkt zu nutzen. Deutschland wird somit künftig möglicherweise vermehrt Atomstrom aus anderen EU-Staaten importieren.
Der deutsche Ausstieg aus der Kernenergie erscheint im europäischen Kontext widersprüchlich.
"
 
 
 
 
 
Minimal notwendige mechanische Schwungmasse Wrot oder elektrische Schwungmasse E
 
Erläuterung
 
Im Kapitel 4 ihrer Ausführungen kommen die Übertragungsnetzbetreiber zu dem Schluß, dass im zusammenhängenden kontinentaleuropäischen Verbundnetz eine Gefährdung der Frequenzstabilität eher unwahrscheinlich ist. Grund dafür sind die (noch vorhandenen) riesigen mechanischen Schwungmassen von Deutschlands Anrainerstaaten. Allein Frankreich mit seinem Kernkraftwerkspark liefert dazu einen überragenden Anteil.

Dennoch erkennen die Übertragungsnetzbetreiber an, dass es bei Netzstörungen zu Netzauftrennungen und infolge dessen zu Teilnetzbildungen kommen kann. Diese entstandenen Teilnetze sollen in der Lage sein, ein maximal 10%iges Leistungsungleichgewicht zu beherrschen. Als Beispiele werden Im- und Exporte von Strommengen über 10% der aktuellen Netzlast genannt. Dabei darf in jedem Fall der maximal zulässige Frequenzgradient in diesem Teilnetz nicht größer als 2 Hz/s sein.

Daraus errechnen die Übertragungsnetzbetreiber eine minimale Netzanlaufzeitkonstante von:
 
 
Die Netzbetreiber beziffern in dieser Studie die notwendige Bereitstellung von Primär- und Sekundärregelleistung auf einen Wert von mindestens 16 GW.

Entsprechend der obigen Formel:
 
ergibt sich dann mit Sn = 16 GW, Tj = TNetz,min = 2,5 s und f = fn = 50 Hz eine minimal notwendige mechanische oder elektrische Momentanreserve von Wrot = E = 80 GWs für ein abgetrenntes Teilnetz.

Innerhalb des kontinentaleuropäischen Verbundnetzes wird Gesamtdeutschland als ein Regelblock für die Bereitstellung von Regelleistung angesehen. Für diesen Regelblock geben die Übertragungsnetzbetreiber eine minimal notwendige Regelleistung von 20 GW an, die kontinuierlich als mechanische Momentanreserve am Netz sein muss.

Für diese mechanische Momentanreserve errechnen die Übertragungsnetzbetreiber eine mittlere Anlaufzeitkonstante der Turbosätze von TAN,KW = 10 s.
Daraus ergibt sich nun wiederum eine in den mechanischen Schwungmassen gespeicherte Energiemenge von Wrot = E = 400 GWs, welche jederzeit vom Regelblock Deutschland innerhalb des kontinentaleuropäischen Verbundnetzes für die gesamte europäische Netzstabilität vorgehalten werden muß.
 
 
 
 
 
Grid Forming
 
Erläuterung
Roadmap Systemstabilität
 
Ein weiteres Problem der 100%igen Stromversorgung mittels regenerativer Energien ist, dass heutige Solar- und Windwechselrichter nicht in der Lage sind, selbständig ein Netz stabil und dauerhaft aufzubauen, also zu formen. Bis heute können sie lediglich dem durch die Synchrongeneratoren aufgebauten Verbundnetz folgen, indem sie sich (bei genügend Wind und Sonne) auf das bereits vorhandene Verbundnetz aufsynchronisieren. Ist kein führendes Stromnetz vorhanden, sind die heutigen Wind- und Solarwechselrichter vollkommen hilflos und speisen, trotz vorhandenem Wind und/oder Sonne kein einziges Ampere in das Verbundnetz ein. Diese Fähigkeit muß ihnen im Verbund zukünftig erst einprogrammiert werden - sie sollen zu sogenannten "Grid Formern" (TransnetBW, Amprion) mutieren. Dazu ist eine entsprechende Umrichtertechnologie mit angepasster Steuer- und Regelungssoftware notwendig. Bisher gibt es in Deutschland lediglich einige Pilotanwendungen für diese Technik.
 
 
[Quelle: Newsletter 21 TransnetBW]
 
In der obigen Darstellung ist zu erkennen, dass die bisherigen Grid Former die atomaren, die fossilen und die Laufwasserkraftwerke sind/waren. Spätestens ab 2045 sollen die Grid Former dann ausschließlich aus Windkraft-, Solarkraft-, und Laufwasserkraftwerke bestehen.

Es stellt sich dann allerdings die Frage: Wer formt das Netz der Zukunft (und zu welchem Preis), wenn es draussen gleichzeitig dunkel und windstill ist, alle Speicher geleert und die Kondensatoren der Statcoms und der Wechselrichter entladen sind?
 
Der VDE hat in seinem Forum Netztechnik/Netzbetrieb Hinweise zu den Eigenschaften von Grid Formern hinterlegt.
 
 
 
Netzüberlastungen
 
Erläuterung
Der vorgesehene Umbau des deutschen Stromnetzes zu einem 100%igen Netz aus erneuerbaren Stromerzeugungsanlagen bis 2045 führt (bei mangelhaftem Netzausbau) nach heutigen Stand zu deutlichen Netzüberlastungen in bestimmten Gebieten.

In ihrer Zukunftsstudie 2050 wirft die TransnetBW einen Blick in die vorgesehene Stromerzeugung und in die erwartbare Stromnachfrage. Es ergibt sich folgendes Szenario:
 
 
[Quelle: Zukunftsstudie 2050 TransnetBW]
 
Es ist die große Stromeinspeisung im Norden und die gleichzeitig hohe Stromnachfrage im Süden Deutschlands gut zu erkennen. Während die eingespeiste Windenergie in Niedersachsen und Schleswig- Holstein den dortigen Energiebedarf bei Weitem übersteigt, weisen Baden-Würtemberg und Bayern große Stromdefizite aus. Diese südlichen Bundesländer erzeugen durch die erfolgte Abschaltung aller Kernkraft- und Braunkohlekraftwerke nicht mehr genügend elektrische Energie zur Deckung ihres Eigenbedarfs. Sie sind vollkommen auf den Stromtransfer aus dem Norden angewiesen. Gemildert wird diese Abhängigkeit durch den Zubau wasserstoffbetriebener Gaskraftwerke in diesen Regionen.

Um die im Norden Deutschlands anfallenden Strommengen der Industrie im Süden Deutschlands verfügbar zu machen, müssen sie bei Bedarf dorthin transportiert werden. Das dafür zur Verfügung stehende Übertragungsnetz des Jahres 2030 sieht so aus:
 
 
[Quelle: Zukunftsstudie 2050 TransnetBW]
 
Dargestellt ist dieses Netz nach einem sogenannten (n-1) - Fehlerlerfall. Ein (n-1) - Fehlerfall tritt dann ein, wenn bei allen betrachteten Betriebsmitteln (hier Übertragungsleitungen), an irgendeiner betrachteten Stelle ein Betriebsmittel (hier eine Übertragungsleitung) ausfällt.

Das deutsche Übertragungsnetz war seinerzeit so konzipiert, dass mit dem damaligen atomaren und fossilen Kraftwerkspark der Ausfall einer (regionalen) Übertragungsleitung, oder auch der Ausfall eines (regionalen) Kraftwerkes, sicher aufgefangen werden konnte. Die am Verbundnetz verbliebenden Betriebsmittel konnten den vor dem eingetretenen Fehlerfall vorhandenen Leistungsfluß anstandslos mit übernehmen. Das lag an der passgenauen Verteilung der atomaren und der fossilen Kraftwerke entsprechend den Stromverbrauchern. So befand sich der größte Teil der Kernkraftwerke dicht an den Industriestandorten zwischen Nordrhein-Westfalen und Bayern und lange Übertragungsleitungen waren nicht notwendig:
 
[Quelle: BMUV]
 
Diese pragmatische Verteilung der atomaren und fossilen Stromerzeuger wurde mit dem drastischen Zubau der Erneuerbaren und dem drastischen Abbau der Fossilen in den letzten Jahrzehnten deutlich verzerrt.
Insbesondere nach der Abschaltung aller Kernkraftwerke, befinden sich mittlerweile die größten Stromerzeuger im Norden Deutschlands und die größten Stromverbraucher weiterhin im Süden Deutschlands. Somit müssen die äußerst volatil erzeugten Strommengen im Norden über tausende von Übertragungskilometer in den Süden Deutschlands befördert werden.

Durch die wesentliche Stromgenerierung im Norden und den notwendigen Abtransport der Strommengen in den Süden, weisen rund 44% der 35.500 km Höchstspannungsnetze des Übertragungsnetzes 2030 im (n-1) - Fehlerfall deutliche Überlastungen im Jahr 2050 auf. Bis in das Jahr 2050 summiert sich die sogenannte Überlastenergie auf über 200 TWh im Jahr. Im Jahr 2030 beträgt die prognostizierte Überlastenergie 25,9 TWh. Zwischen 2030 und 2050 erhöht sich die Netzüberlastung also um fast das Zehnfache.

Das ist der Grund, warum die Übertragungsnetzbetreiber auf milliardenschwere Netzverstärkungs- und Netzausbaumaßnahmen in den nächsten 20 Jahren drängen. Die dafür prognostizierten Kosten bis in das Jahr 2037 belaufen sich auf ca. 350 Mrd. Euro. Davon könnte man, mit dem Sachstand von Olkiluoto, 32 moderne Kernkraftwerke des Europäischen Druckwasserreaktors EPR mit einer Nennleistung von je 1600 MW bauen. Diese würden, bei einer 87%igen Volllaststundenzahl, eine Strommenge von 32 mal 1600 MW mal 8760 h mal 0,87 = 390 TWh im Jahr produzieren. Das wären im Jahr 2050 (Strombedarf mit 1300 TWh angenommen) ca. 30 % des notwendigen Jahresbedarfs an elektrischer Energie.

Diese 32 Kernkraftwerke hätten zusammen eine Generatorleistung von 51,2 GW und eine daraus resultierende Momentanreserve von 1024 GWs (bei einer Netzanlaufzeitkonstante von TNetz = 10 s). Und damit wäre das Problem der fehlenden mechanischen Schwungmassen sowie auch das derzeitige und zukünftige Grid Former-Problem nicht mehr vorhanden. Außerdem wäre der größte Teil des Zubaus an Backup-Gaskraftwerken nicht mehr notwendig.
Auch die prognostizierte Netzüberlastung durch ein zu schwach ausgebautes Übertragungsnetz würde nicht stattfinden. Denn die KKW würden vorwiegend im Süden an den großen Industriestandorten plaziert werden, solange es die geografisch günstige Lage zuläßt. Infolge dessen, wäre auch der geplante gigantische und gigantisch teure Netzausbau nicht mehr notwendig.
 
Hier der Newsletter der TransnetBW, in dem die Gefahren der Energiewende verklausuliert dargestellt werden:
 
 
 
 
 
 
Schlußfolgerungen der vier Übertragungsnetzbetreiber zum vorzeitigen Kohleausstieg 2030
 
Die vier Übertragungsnetzbetreiber haben in ihrer Studie zum beschleunigten Kohleausstieg 2030 folgende Erkenntnisse gewonnen:

"Die Ergebnisse der Untersuchungen zeigen, dass Fehlerfälle in den hochausgelasteten nördlichen Netzgruppen zum Verlust der Stabilität führen können. Bereits bei ausgewählten (n-1)-Fehlerereignissen kann die Beherrschbarkeit bei konzeptgemäßer Fehlerklärung nicht mehr sicher gewährleistet werden.

Gleiches gilt für kritischere Fehler. Der Verlust der Stabilität äußert sich unter anderem in einem regionalen Ausfall von Erzeugungsleistung und Versorgungsunterbrechungen bis hin zu überregionalen Störungsausweitungen mit der Gefahr von Netzauftrennungen.

Während im NEP 2035 (2021) durch die Berücksichtigung der konkreten Blindleistungsanlagen aus den Analysen zur Bedarfsermittlung der Spannungshaltung und -stabilität die sichere Beherrschbarkeit der Fehlerfälle ermöglicht werden konnte, sind dafür in der Langfristanalyse 2030 darüberhinausgehende Maßnahmen notwendig.

Diese zusätzlichen Maßnahmen zur Sicherstellung der Systemstabilität wurden in Sensitivitätsanalysen bewertet. Hierbei zeigt sich, dass zukünftig neu ans Netz kommende Großverbraucher (insbesondere Elektrolyseure) auch ein netzdienliches Verhalten aufweisen müssen, wie es bereits für Erzeugungsanlagen der Fall ist. Ein nicht netzdienliches Verhalten kann dabei zur Nicht-Beherrschbarkeit von Fehlerereignissen führen.

Des Weiteren hat sich gezeigt, dass die Menge und technische Ausgestaltung zusätzlicher Blindleistungskompensationsanlagen sowie die Höhe der dynamischen Netzstützung umrichterbasierter Erzeugungsanlagen einen hohen Einfluss auf die Beherrschbarkeit der Fehler hat. Weitere wirksame Maßnahmen stellen die Beschränkung der Engpassströme auf ausgewählten Transitkorridoren sowie die
regionale Erhöhung der verfügbaren Schwungmasse dar.

Zudem kann eine kurzzeitige Entlastung der Transitkorridore über Systemautomatiken (
Einspeiseunterbrechung in Norddeutschland im Sekundenbereich) zur Beherrschbarkeit von Fehlerereignissen beitragen.

Die genaue Ausgestaltung und Dimensionierung der Gegenmaßnahmen muss in weiterführenden Untersuchungen betrachtet werden. Die detaillierten Untersuchungsergebnisse der Langfristanalyse 2030 werden im
Begleitdokument zu den Stabilitätsanalysen im
NEP 2037/2045 (2023) erläutert."


In ihrer Bewertung der Systemstabilität vom 06. September 2023, fassen die Übertragungsnetzbetreiber wichtige Punkte wie folgt zusammen:

Insgesamt ergibt sich für 2030 ein Blindleistungsdefizit von etwa
27 Gvar.

Bis 2037 (NEP) steigt das Blindleistungsdefizit auf insgesamt
59 Gvar an.

Ohne die Potentiale aus der netzdienlichen Nutzung von Elektrolyseuren, Großbatteriespeichern und EE-Anlagen aus dem Verteilnetz steigt das Blindleistungsdefizit auf etwa
65 Gvar an.

Mit Blick auf die aktuelle Marktreife netzbildender Anlagen sind die zugrunde gelegten Annahmen hinsichtlich der Momentanreserve-Bereitstellung ab dem Zeitraum 2025-2027 als optimistisch zu bewerten. Sofern netzbildende Anlagen nicht rechtzeitig Marktreife erlangen, führt ein verzögerter Start dieser Bereitstellung zwangsläufig zu einer
Unterdeckung der Bedarfe. Sollten die Systembedarfe nicht gedeckt werden können, muss zwangsläufig davon ausgegangen werden, dass auslegungsrelevante Netzauftrennungen nicht in jeder Stunde beherrscht werden können.

Es zeigt sich, dass die Integration der im Szenario angenommenen enorm hohen Erzeugung aus erneuerbaren Energien im Zusammenspiel mit der Systemintegration neuer Lasten (insbesondere Elektrolyseanlagen) und der Höherauslastung des Netzes große Herausforderungen in Bezug auf die Systemstabilität darstellen, während der konkrete Zeitpunkt des marktseitigen Kohleausstiegs eine eher untergeordnete Bedeutung für den Umfang der notwendigen Begleitmaßnahmen hat.

Um in Situationen mit hohen Leistungstransporten von Erzeugungs- zu Lastzentren die Systemstabilität gewährleisten zu können, müssen eine Reihe von Maßnahmen bis 2030 zwingend umgesetzt werden. Diese Maßnahmen umfassen eine Beschleunigung des Netzausbaus, die zügige Weiterentwicklung des einschlägigen technischen Regel- und Normenwerks (insbesondere eine Erweiterung der Anforderungen an Großverbraucher für ein netzdienliches Verhalten),
eine marktliche Beschaffung von Momentanreserve und Blindleistung sowie den Zubau der notwendigen Blindleistungskompensationsanlagen. Die Erreichung der in diesem Szenario hinterlegten energiepolitischen Ziele erhöht den Handlungsdruck zur rechtzeitigen Umsetzung dieser Maßnahmen.
 
 
Dieser Handlungsdruck würde aber gar nicht bestehen, wenn man konsequenterweise die abgeschalteten Kernkraftwerke wieder an das Netz bringt und sukzessive den fossilen Kohlekraftwerkspark durch reanimierte oder neu gebaute grüne Kernkraftwerke ersetzt.

Erneuerbare Stromerzeuger stehen schon heute in Deutschland zu Genüge zur Verfügung. Deren installierte Leistungen werden im Schnitt nur zwischen 10% (Solar) und 32% (Offshore-WKA) ausgenutzt (Jahresnutzungsgrad). Das wird sich auch in der Zukunft kaum zum Besseren ändern. Insgesamt ist das weder technisch noch ökonomisch oder auch ökologisch sinnvoll.
 
 
 
 
 
Liste der in Deutschland verfügbaren Netzreserve- und Kapazitätsreservekraftwerke
 
[Quelle: Bundesnetzagentur]
 
 
 
 
 
 
Geografische Verteilung der fossilen Netzreserve- und Kapazitätsreservekraftwerksleistungen in Deutschland
 
[Quelle: Bundesnetzagentur]
 
 
 
 
 
 
Geografische Verteilung der endgültig stillgelegten und der aktuell noch in Betrieb befindlichen fossilen Kraftwerksleistungen in Deutschland
 
[Quelle: Bundesnetzagentur]
 
 
 
 
 
Geografische Verteilung der in Betrieb befindlichen regenerativen Kraftwerksleistungen in Deutschland
 
[Quelle: Bundesnetzagentur]
 
 
 
 
 
 
Feststellung des Bedarfs an Netzreserve
 
[Quelle: Bundesnetzagentur]
 

Die Bundesnetzagentur beauftragt die Übertragungsnetzbetreiber vorausschauend zu Simulationsberechnungen hinsichtlich der Netzsicherheit in kritischen Stunden der kommenden Zeiträume. In dem aktuellen Bericht der Bundesnetzagentur zur "Feststellung des Bedarfs an Netzreserve für den Winter 2024/2025 sowie den Betrachtungszeitraum April 2026 bis März 2027 werden Jahresstunden mit besonders hohen Auffälligkeiten im deutschen Stromversorgungsnetz identifiziert und hinsichtlich der resultierenden Netzinstabilität besonders untersucht.

Die Bundesnetzagentur schreibt dazu ab Seite 7 ihres Berichtes:

"Die Energiewende führt zu einem stetig wachsenden Anteil erneuerbarer Energien im deutschen Strommix. Dabei ist insbesondere bei der installierten Leistung aus Windenergieanlagen an Land und zur See zu beobachten, dass nach wie vor ein deutliches geografisches Ungleichgewicht zwischen den Standorten der Anlagen im
Norden Deutschlands und den Verbrauchszentren im Süden und im Westen besteht. Aber auch Photovoltaik- Freiflächenanlagen werden zunehmend lastfern errichtet.
Der Ausstieg aus der Nutzung der Kernenergie in Deutschland ist mit dem Ablauf des 15. April 2023 abgeschlossen. Auch bei den übrigen konventionellen Erzeugungstechnologien ist bedingt durch Marktkräfte und durch den gesetzlichen Ausstiegspfad aus der Verstromung von Kohle ein stetiger Rückgang der am Netz befindlichen Kapazitäten festzustellen. Zudem führen die Änderungen des europäischen Strommarktdesigns dazu, dass die grenzüberschreitenden Handelstätigkeiten an Volumen zulegen und nationale Engpässe des Übertragungsnetzes ungeachtet ihres Auftretens eine immer geringere Rolle bei der Vergabe der Handelskapazitäten spielen.

Eine besondere Belastung für das Übertragungsnetz entsteht dabei durch die Einfuhren elektrischer Energie aus nördlichen Nachbarländern und Skandinavien bei gleichzeitiger Ausfuhr elektrischer Energie in das benachbarte südliche bzw. südwestliche Ausland. Dies bewirkt ein Nord-Süd-Gefälle beim Stromtransport im Über-
tragungsnetz. Dieses überlagert sich mit der eingangs bereits erwähnten Anforderung, Strom aus den Erzeugungszentren im Norden Deutschlands in die Lastzentren Süd- und Westdeutschlands zu transportieren.

Um die Netzstabilität und damit die Versorgungssicherheit auch in kritischen Situationen zu gewährleisten, setzen die Übertragungsnetzbetreiber im Bedarfsfall gezielt Kraftwerke zum Redispatch ein und wirken so drohenden Leitungsüberlastungen entgegen. Auf die Ausgeglichenheit von Erzeugung und Last im Ganzen (Leis-
tungsbilanz) haben diese Eingriffe keine Auswirkungen, da stets sichergestellt wird, dass abgeregelte Energiemengen durch gleichzeitiges Hochfahren von Kraftwerken bilanziell ausgeglichen werden. Während des Winterhalbjahres ist der Redispatchbedarf erfahrungsgemäß am höchsten. In dieser Zeit trifft eine hohe Nachfrage
nach elektrischer Energie mit einer oftmals hohen Einspeisung aus Windenergieanlagen im Norden und Nordosten Deutschlands zusammen. Diese Einspeisung muss über weite Distanzen in die Verbrauchszentren Süd- und Westdeutschlands und in das südliche Ausland transportiert werden. Drohende Engpässe im Übertra-
gungsnetz, werden mittels Redispatch verhindert. Ein Unterbinden der Exporte ins europäische Ausland kommt aus europarechtlichen Gründen und weil Deutschland zu anderen Zeitpunkten Strom importiert, nicht in Betracht.

Sind gesicherte, marktbasierte Kraftwerkskapazitäten zur Durchführung von Redispatchmaßnahmen nicht in ausreichendem Maße vorhanden, setzen die Übertragungsnetzbetreiber Netzreservekraftwerke zum Redispatch ein. Netzreservekraftwerke stehen den Übertragungsnetzbetreibern zur Verfügung, da das Energiewirt-
schaftsgesetz (EnWG) die Möglichkeit vorsieht, Erzeugungsanlagen, die der Betreiber stillzulegen beabsichtigt, vorrübergehend in Betrieb zu halten, wenn dies zur Gewährleistung der Systemsicherheit erforderlich ist. Eine weitere Präzisierung dieser Regelungen erfolgt durch die Netzreserveverordnung (NetzResV). Danach erstellen
die Übertragungsnetzbetreiber jährlich Systemanalysen zur Ermittlung des zukünftig erforderlichen Reservebedarfs. Die Bundesnetzagentur überprüft die Systemanalysen und stellt gegebenenfalls einen Bedarf an Netzreserve fest.

Betrachtungshorizonte der diesjährigen Bedarfsfeststellungen sind der Winter 2024/2025 (t+1) gemäß den Vorgaben des § 3 Abs. 2 Nr. 3 NetzResV sowie der Zeitraum 01.04.2026 – 31.03.2027 (t+3). Auf Grundlage der jeweils den kommenden Winter betrachtenden Bedarfsermittlung (hier 2024/2025), ergänzt durch eine längerfristige
Analyse (hier 2026/2027) ist demnach die notwendige Netzreserve für den kommenden Winter zu beschaffen.

Der zweite Betrachtungszeitraum (2026/2027) wurde gewählt, um den Eintritt des Kohleverfeuerungsverbots der Kraftwerke, die in der siebten Runde der Ausschreibungen zur Reduzierung der Kohleverstromung nach dem Kohleverstromungsbeendigungsgesetz (KVBG) einen Zuschlag erhalten haben oder die infolge der Unter-
zeichnung dieser Ausschreibungsrunde der gesetzlichen Reduzierung unterfallen, abzubilden und dessen Auswirkungen zu analysieren."

 
Die für die im vergangenen Winter 2023/2024 eingesetzten deutschen (bis zu 40 Jahre alten) Reservekraftwerke ergaben sich folgende Einsatzhäufigkeiten (Bericht S. 8):
 

Die Bundesnetzagentur schreibt dazu:

"Zwischen dem 01.10.2023 und dem 15.04.2024 wurden von den Übertragungsnetzbetreibern auf Grundlage der Vorschauprozesse des Netzengpassmanagements an 90 von 198 Tagen Redispatchleistung durch deutsche Netzreservekraftwerke angefordert. Zudem wurde an fünf Tagen zusätzliche Redispatchleistung von Anlagen aus der Schweiz abgerufen. Marbach GT 2 und Marbach DT 3 standen der Netzreserve bis zum 31.12.2023 zur Verfügung. Fenne MKV und Fenne HKV sind seit dem 15.02.2024, nach befristeter Teilnahme am Strommarkt, Teil der Netzreserve. Die Anlagen, die nach Ende des Ersatzkraftwerkebereithaltungsgesetzes (EKBG) ihre befristete Teilnahme am Strommarkt mit Ablauf des 31.03.2024 beendet haben, werden seit dem 01.04.2024 in der Netzreserve vorgehalten. Da diese Anlagen bis zum 15.04.2024 nicht in der Netzreserve zum Einsatz kamen, sind sie in der obigen Abbildung nicht aufgeführt."

 
 
 
Winterhalbjahr 2024/2025
 

Für den kommenden Winter 2024/2025 wurden von den Übertragungsnetzbetreibern als Ergebnis der Netzanalysen 2024/2025 zwei Jahresstunden als besonders betrachtenswerte Grenzsituationen herausgearbeitet. Dabei wird unterstellt, dass die Netzreservekraftwerke Wahlheim 1 und 2 sowie Völklingen HKV und MKV auf Grund von Personalmangel für den Einsatz in der deutschen Netzreserve nicht zur Verfügung stehen werden.

Dadurch ergibt sich in der Jahresstunde 273 (12.01.2025 um 9.00 Uhr) bei einer netzkritischen Starkwind-Starklast-Situation ein vergleichsweise hoher Gesamtredispatchbedarf. Weiterhin ergibt sich zu dieser Stunde auch der höchste Bedarf an Redispatchleistung aus dem Ausland.

Als weitere kritische Situation in einer Woche Dunkelflaute wird die Jahresstunde 948 (09.02.2025 09.00 Uhr) angesehen. Hier müssen die inländischen Reservekraftwerke den höchsten Beitrag zur Deckung des Gesamtredispatchbedarfs leisten. Gleichzeitig ist auf Grund niedriger Einspeisung aus EE-Anlagen und geringerer Verfügbarkeit konventioneller Marktkraftwerke mit einem erhöhten Stromimport aus den Nachbarländern zu rechnen, wohingegen in der Stunde 273 Deutschland Strom exportiert. Hier vornehmlich nach Frankreich. Die Simulationsergebnisse der Übertragungsnetzbetreiber zeigt die Grafik auf Seite 29 des Berichtes:

 
 
Die nachfolgende Tabelle auf Seite 32 des Berichts zeigt die an diesen Netznutzungsfällen (273 und 948) beteiligten Reservekraftwerke:
 

Um in der Stunde 948 den (n-1)-sicheren Netzbetrieb zu gewährleisten, müssen alle dann verfügbaren Netzreservekraftwerke mit voller Leistung (in Summe 5580 MW) in das deutsche Netz einspeisen. Dadurch wird die Netzsicherheit gewährleistet und es ist keine importierte Redispatchleistung aus dem Ausland notwendig.

Im Netznutzungsfall 273 hingegen, muß neben einer deutschen Netzreservekraftwerksleistung von 3905 MW auch noch eine Redispatchleistung aus dem Ausland (insbesondere aus Frankreich und der Schweiz) hinzugekauft werden.

Insgesamt rechnen die Übertragungsnetzbetreiber für das Winterhalbjahr 2024/2025 mit einem vorzuhaltenden Netzreservebedarf von 6947 MW.

"Die Verortung der ausländischen Netzreserveleistung in Frankreich und der Schweiz ist das Ergebnis einer modelltechnischen Betrachtung. Tatsächlich kann die erforderliche Erzeugungsleistung für Redispatchprozesse auch durch Anlagen aus anderen Ländern bereitgestellt werden. Hierbei ist eine unterstützende,
netztechnische Wirkung auf das deutsche Übertragungsnetz und die Verfügbarkeit von relevanten grenzüberschreitenden Übertragungskapazitäten zu berücksichtigen. Abhängig vom Standort der Anlage bzw. ihrer netztechnischen Wirkung auf potentielle Netzengpässe im deutschen Übertragungsnetz wird möglicherweise mehr
oder weniger Leistung im Wege des Netzreserveeinsatzes benötigt. Die vertraglich zu bindende Leistung kann damit vom oben genannten zusätzlichen Bedarf an Erzeugungskapazität für die Netzreserve abweichen."

 
 
 
April 2026 bis März 2027
 
Für den simulierten Zeitraum vom April 2026 bis zum März 2027 ergeben sich für den Netznutzungsfall 274 (12.01.2027 10.00 Uhr) und für den Netznutzungsfall 303 (13.01.2027 15.00 Uhr) zum einen der höchste Gesamtbedarf an Redispatchleistung (NNF 274) und zum anderen der höchste Bedarf an ausländischer Redispatchleistung (NNF 303).
 

In der Stunde 274 beträgt die Leistungsnachfrage 93 GW. Diese wird zum größten Teil durch eine hohe Einspeisung aus Windenergieanlagen befriedigt. Da diese Windleistung nicht komplett in den Süden Deutschlands abtransportiert werden kann, wird ein wesentlicher Teil (18,8 GW) davon exportiert.

Die hohe Windleistung führt zu hohen Redispatchleistungen. Insgesamt beträgt diese erforderliche Redispatchleistung 21,6 GW. Ein Teil davon liefern die verfügbaren Reservekraftwerke mit einer Gesamtleistung von 5525 MW. Darüber hinaus ist nach den Berechnungen der Übertragungsnetzbetreiber aber noch zusätzliche Redispatchleistung in einer Höhe von 2196 MW aus dem Ausland erforderlich.

Der Netznutzungsfall 303 übertrifft den Netznutzungsfall 274 hinsichtlich der Starkwind-Starklast-Situation noch um eine gesteigerte Stromnachfrage. Deutschland benötigt zu dieser Stunde eine elektrische Leistung von 100 GW, vornehmlich im Süden Deutschlands. 12,9 GW der erzeugten Leistung werden in das Ausland exportiert. Die aus dieser Situation resultierende Nord-Süd-Transportaufgabe bedeutet eine besonders hohe Netzbelastung und führt zu einem hohen Gesamtredispatchbedarf von 23,4 GW. Mithin muß in der Stunde 303 des Jahres 2027 die größte ausländische Redispatchleistung im gesamten Jahre 2027 in einer Höhe von 2196 MW hinzugekauft werden.

Die Tabelle auf Seite 42 des Berichts zeigt die für dieses Szenario zur Verfügung stehenden Reservekraftwerke:

 
 
Insgesamt erhöht sich der zu sichernde Netzreservebedarf für den Zeitraum April 2026 bis März 2027 auf 9202 MW.
 
 
 
 
 
Schlußfolgerungen des Bundesrechnungshofes zur geplanten Energiewende
 
[Erläuterung]
 
In seiner Stellungnahme zur Energiewende vom 07. März 2024 gibt der Bundesrechnungshof folgende Bewertungen ab:

"Dieser Bericht zeigt auf, dass die Maßnahmen der Bundesregierung zur Umsetzung der Energiewende ungenügend sind und deshalb gravierende Risiken für jedes dieser energiepolitischen Ziele bergen: Verzug beim Ausbau der erneuerbaren Energien, der notwendigen gesicherten, steuerbaren Kraftwerksleistungen sowie der Stromnetze gehören hierzu ebenso wie hohe Strompreise und Wissenslücken hinsichtlich der Umweltwirkungen der Transformation. Zugleich fehlt der Bundesregierung seit dem Aussetzen des Monitoring-Prozesses „Energie der Zukunft“ ein Instrument, um Wechselwirkungen zwischen den energiepolitischen Zielen zu erfassen. Mit ihrem Vorgehen läuft die Bundesregierung Gefahr, dass mögliche Konflikte zwischen den energiepolitischen Zielen ungelöst bleiben und die Energiewende scheitert."

"Zugleich stützt das BMWK sein Argument, dass nur ein erheblicher Ausbau der erneuerbaren Energien eine kostengünstige Stromversorgung gewährleistet, insbesondere auf deren niedrige
Stromgestehungskosten. Bereits im Jahr 2022 kritisierte der Bundesrechnungshof, dass das BMWK dabei erhebliche weitere Kosten für die Energiewende unberücksichtigt lässt. Dazu zählen beispielsweise die o. g. Netzausbaukosten. Dadurch entsteht außerhalb der Fachöffentlichkeit ein falsches Bild der tatsächlichen Kosten der Transformation."

"
Es bestehen erhebliche Risiken für die Versorgungssicherheit mit Strom. Parallel zu den Verzögerungen beim Netzausbau droht zum Ende dieses Jahrzehnts eine erhebliche Kapazitätslücke erneuerbarer sowie emissionsarmer gesicherter, steuerbarer Kraftwerksleistung. Zur Vermeidung von Versorgungsengpässen müssten dann Kohlekraftwerke weiter betrieben werden. Der angestrebte vorgezogene Kohleausstieg bis zum Jahr 2030 erscheint damit fraglich. Dies wird auch durch aktuelle Entscheidungen der BNetzA unterstrichen, die Abschaltung von Kohlekraftwerken vor April 2031 zu untersagen."

"Die Energiewende im Bereich Strom ist von herausragender Bedeutung für den Klimaschutz. Jedoch hinkt die Bundesregierung ihren Zielen beim Ausbau erneuerbarer Energien sowie hinreichend gesicherter, steuerbarer Kraftwerksleistung hinterher.
Die Versorgungssicherheit ist gefährdet, der Strom ist teuer und Auswirkungen der Energiewende auf Landschaft, Natur und Umwelt kann die Bundesregierung nicht umfassend bewerten. Dies birgt erhebliche Risiken für den Wirtschaftsstandort Deutschland sowie die Akzeptanz der Energiewende in der Bevölkerung."
 
 
 
Die (superteure) Energiewende ist nicht auf Kurs
 
[Grafik: Bundesrechnungshof, S. 11]
 
 
 
 
 
Hinweis: Der Autor übernimmt keine Gewähr für die Vollständigkeit, Richtigkeit und Aktualität der Angaben. Diese Seite dient lediglich der Information und ersetzt keine individuelle Rechtsberatung. Der Autor ist nicht für die Inhalte der von ihm verlinkten Seiten verantwortlich und übernimmt keine Haftung.
 
Prognosen: Eigene Berechnung [GW = Gigagawatt  GWh = Gigawattstunde  TWh = Terawattstunde]
 
Daten: Bundesnetzagentur GIE|AGSI energy-charts SMARD netztransparenz